급성 심근경색증 환자에서 관상동맥 중재술 후 허혈성 심근병증 예측인자

Predictors of Ischemic Cardiomyopathy in Patients with Acute Myocardial Infarction who Underwent Percutaneous Coronary Intervention

Article information

Korean J Med. 2020;95(3):188-200
Publication date (electronic) : 2020 June 1
doi : https://doi.org/10.3904/kjm.2020.95.3.188
1The Heart Center of Chonnam National University Hospital, Gwangju, Korea
2The Heart Research Center Designated by Korea Ministry of Health and Welfare, Gwangju, Korea
3Department of Preventive Medicine, Chonnam National University Medical School, Gwangju, Korea
김혜숙1,2, 정명호1,2, 윤현주1,2, 김용철1,2, 손석준3, 김민철1,2, 심두선1,2, 홍영준1,2, 김주한1,2, 안영근1,2, 조재영1,2, 김계훈1,2, 박종춘1,2
1전남대학교병원 심장센터
2보건복지부 지정 심혈관 융합 연구센터
3전남대학교 의과대학 예방의학교실
Correspondence to Myung Ho Jeong, M.D., Ph.D., FACC, FAHA, FESC, FSCAI, FAPSIC The Heart Research Center Designated by Korea Ministry of Health and Welfare, Chonnam National University Hospital, 42 Jaebong-ro, Dong-gu, Gwangju 61469, Korea Tel: +82-62-220-6243, Fax: +82-62-228-7174, E-mail: mhjeong@chonnam.ac.kr
Received 2019 January 6; Revised 2019 August 26; Accepted 2019 August 31.

Abstract

목적

급성 심근경색증 환자에서 적극적인 치료에도 불구하고 허혈성 심근병증으로 진행한 환자는 많은 육체적, 사회 경제적인 어려움을 겪게 된다. 이 연구의 목적은 급성 심근경색증 환자에서 성공적인 관상동맥 중재술 후에 허혈성 심근병증이 발생하는 예측인자에 대하여 알아보고자 하였다.

방법

2011년 11월부터 2015년 10월까지 Korea Acute Myocardial Infarction Registry–National Institute of Health (KAMIR–NIH)에 등록된 환자 중 급성 심근경색증으로 전남대학교병원에 내원 후 성공적인 관상동맥 중재술을 시행 받고, 퇴원 전 심장초음파를 시행한 후 추적 심장초음파 검사가 시행된 환자 547명(63.1 ± 12.3세, 남자 71.1%)을 대상으로 하였다. 추적 심장초음파 검사에서 허혈성 심근병증이 발생한 환자군 66명(Ⅰ군: 67.1 ± 11.9세, 남자 78.8%)과 발생하지 않은 환자군 481명(Ⅱ군: 62.5 ± 12.2세, 남자 70.1%)으로 분류하여, 양군 간의 임상적 특성, 혈액 검사 특성, 심장초음파 및 관상동맥 조영술 소견 및 주요심장사건을 비교·분석하였다. 허혈성 심근병증은 심장초음파 검사에서 좌심실 이완기말 직경(left ventricular end-diastolic dimension, LVEDD) > 55 mm이고, 좌심실 구혈률(left ventricular ejection fraction, LVEF) < 50%로 저하되어 있는 경우로 정의하였다.

결과

Ⅰ군에서 평균연령(67.1 ± 11.9세 vs. 62.5 ± 12.2세, p = 0.004)이 높았으며, ST-분절 상승 심근경색증(65.2% vs. 46.2%, p = 0.004), Killip class (p = 0.008), 병원 내 심장사건(48.5% vs. 22.7%, p < 0.001)에서 유의한 차이를 보였다. 백혈구(12,340 ± 4,235 mm<sup>3</sup> vs. 10,560 ± 4,057 mm³, p = 0.001)와 혈당(201.7 ± 104.4 mg/dL vs. 164.7 ± 75.7 mg/dL, p = 0.007), CK-MB (163.9 ± 124.6 U/L vs. 87.8 ± 102.9 U/L p < 0.001), troponine-I (124.2 ± 113.5 ng vs. 44.5 ± 113.5 ng, p < 0.001)는 Ⅰ군에 비하여 Ⅱ군에서 의미있게 높았다. LVEF (41.7 ± 10.5 vs. 55.4 ± 10.3%, p < 0.001), LVEDD (54.1 ± 7.2 vs. 49.3 ± 5.3 mm, p < 0.001), E/A 비(1.19 ± 0.67 vs. 0.95 ± 0.45, p = 0.017), E/e’ ratio (16.7 ± 7.8 vs. 12.7 ± 6.1, p = 0.001)가 유의한 차이가 있었으나, 관상동맥 조영술 및 중재술 소견은 두군 간에 유의한 차이는 없었다. 다변량 회귀분석 결과 LVEF < 50% (OR 8.722, CI 2.986-25.478, p < 0.001), LVEDD > 55 mm (OR 4.511, CI 1.561-13.038, p = 0.005), E/e' ratio ≥ 15 (OR 3.270, CI 1.168-9.155, p = 0.024)이 허혈성 심근병증 발생의 독립적 예측인자였다.

결론

급성 심근경색증 환자에서 허혈성 심근병증 발생의 독립적인 예측인자는 LVEF < 50%, LVEDD > 55 mm, E/e' ratio ≥ 15였다. 따라서, 내원 시 예측인자를 갖고 있는 환자에 대해서는 급성 심근경색증 발생초기부터 보다 적극적인 치료가 필요할 것으로 사료된다.

Trans Abstract

Background/Aims

Many patients with acute myocardial infarction (AMI) suffer from heart failure due to progressive ischemic left ventricular (LV) remodeling. This study investigated the predictors of ischemic cardiomyopathy (ICMP) in patients with AMI who underwent successful percutaneous intervention.

Methods

A total of 547 patients with AMI were divided into two groups: ICMP (n = 66, 67.1 ± 11.9 years, 78.8% males) and non-ICMP (n = 481, 62.5 ± 12.2 years, 70.1% males).

Results

On echocardiography, the LVEF was significantly decreased (41.7 ± 10.5 vs. 55.4 ± 10.3%, p < 0.001) but the LV end-diastolic (54.1 ± 7.2 vs. 49.3 ± 5.3 mm, p < 0.001) and systolic (42.1 ± 8.0 vs. 33.5 ± 6.0 mm, p < 0.001) dimensions significantly increased in the ICMP group compared with the non-ICMP group. According to multivariate logistic regression analysis, LVEF < 50% (odds ratio [OR] 8.722, 95% confidence interval [CI] 2.986–25.478, p < 0.001), LV end-diastolic dimension > 55 mm (OR 4.511, 95% CI 1.561–13.038, p = 0.005), and ratio of early mitral inflow velocity to mitral annular early diastolic velocity (E/e’) ≥ 15 (OR 3.270, 95% CI 1.168–9.155, p = 0.024) were independent predictors of ICMP development.

Conclusions

The present study demonstrates that a larger LV size, lower LV function, and increased E/e’ (≥ 15) were independent predictors of ICMP. Therefore, the development of ICMP should be carefully monitored in AMI patients with these features.

서 론

급성 심근경색증은 평균 수명의 연장 및 생활양식, 식생활의 변화로 인하여 그 빈도가 증가하고 있으며, 주요한 사망 원인이 되고 있다[1]. 최근 급성 심근경색증의 증상 또는 위험요인에 대한 국민들의 인식이 증가되고 있으며, 보다 효과적인 관상동맥 중재술(percutaneous coronary intervention, PCI)을 통한 재관류요법 등 급성기 치료의 발전으로 급성기 사망률이 감소되고 있는 추세이다[2,3]. 허혈성 심근병증은 관상동맥 질환의 결과로서 좌심실 기능장애와 관련이 있으며, 많은 경우에 좌심실 확장을 유발한다. 좌심실의 확장은 심근경색증에 의해 심근세포가 괴사되어 심실의 재형성이 생기거나 심근의 동면, 심근의 기절 등 만성적인 심근허혈에 의하여 심실의 재형성이 일어나서 유발한다[4]. 이러한 좌심실의 확장은 조기에는 경색에 대한 보상으로 작용하지만 결국은 좌심실 기능부전을 초래한다[5,6]. 인구의 고령화 및 급성 심장 질환 후 생존율 증가로 인하여 심부전의 발생과 재입원 등이 증가하고, 이로 인한 사회경제적 손실이 지속적으로 증가되고 있다. 허혈성 심근병증 환자가 말기 심부전의 상태가 되면 예후가 매우 나쁘기 때문에 예방이 임상적으로 큰 의의가 있을 것으로 생각한다.

이 연구의 목적은 성공적인 PCI 시술 받은 급성 심근경색증 환자에서 임상적 특성, 검사실 소견, 심장초음파 소견, 관상동맥 조영술 소견 그리고 병원 입원 기간 동안 심장사건들을 분석하여 허혈성 심근병증 발생과 연관된 예측인자를 찾아보고자 하는 것이었다.

대상 및 방법

연구대상

2011년 11월부터 2015년 11월까지 Korea Acute Myocardial Infarction Registry-National Institute of Health (KAMIR-NIH)에 등록된 환자 중 급성 심근경색증으로 전남대학교병원에 입원하여 PCI를 시행 받고, 퇴원 전 심장초음파 검사를 시행한 후 추적 심장초음파 검사가 시행되었던 644명에서 심근경색증의 과거력이 있는 환자 42명, 관상동맥 우회술을 받은 환자 15명, PCI를 시행하지 않은 환자 38명, 초기 심장초음파 검사가 시행되지 않았던 환자 2명은 연구대상에서 제외한 환자 547명(63.1 ± 12.3세, 남자 71.7%)을 대상으로 하였다. 추적 심장초음파 검사 후 허혈성 심근병증이 발생한 환자군 66명(Ⅰ군: 67.1± 11.9세, 남자 78.8%)과 발생하지 않은 환자군 481명(Ⅱ군: 62.5 ± 12.2세, 남자 70.1%)으로 분류하였다. 본 연구에서 허혈성 심근병증은 관상동맥 조영술을 통하여 1개 이상의 주요 관상동맥에서 협착이 75% 이상이고 성공적인 PCI를 시행한 경우[7], 심장초음파 검사에서 좌심실 이완기말 직경(left ventricular end-diastolic dimension, LVEDD)이 55 mm보다 증가되어 있고 좌심실 구혈률(left ventricular ejection fraction, LVEF)이 50% 미만으로 저하되어 있는 경우로 정의하였다[8-10].

연구 방법

KAMIR-NIH 연구는 전남대학교병원 생명윤리위원회의 심의(CNUH 05-49)를 통과하여 모든 환자의 동의서를 취득한 후에 이루어졌다. KAMIR-NIH 연구는 급성 심근경색증 환자의 예후 및 관리지표 개발을 위한 전향적, 다기관, 웹 기반 코호트 연구로 국립보건연구원의 후원을 받아 2011년 11월부터 2015년 12월까지 한국의 20개 센터에서 환자가 등록되었다[11]. 모든 환자는 급성 심근경색증으로 입원하여 성공적인 PCI를 시행 받고, 퇴원 전과 추적 심장초음파 검사를 시행하였다.

급성 심근경색증의 정의는 troponin-I, T 혹은 creatine kinase-MB (CK-MB)와 같은 심근 효소의 상승과 더불어 다음과 같은 소견을 적어도 하나 이상 동반한 경우로 하였다. 허혈의 증상, 심전도에서 ST 분절의 변화나 새로 발생한 좌각 차단, T파 역위의 변화, 병적인 Q파가 관찰될 때 그리고 영상학적으로 생존 심근의 감소가 새롭게 발견되거나 국소 벽 운동의 감소가 관찰되는 경우로 하였다[12]. 관상동맥 조영술에서 병변의 형태는 American College of Cardiology/American Heart Association (ACC/AHA) 분류법을 사용하였으며[13], 관상동맥 조영술에서 혈류의 흐름은 thrombolysis in myocardial infarction (TIMI) flow를 이용하였다[14]. 성공적인 PCI는 잔여 협착이 50% 미만이고 TIMI Ⅲ로 개선된 경우로 정의하였다[15]. 1년간 임상적 추적 관찰에서 주요 심장사건(major adverse cardiac events, MACEs)은 사망, 심근경색증의 재발, 재관류술, 재입원, 관상동맥 우회술로 정의하였다.

모든 대상 환자에서 임상적, 혈액학적 검사, 심장초음파 및 관상동맥 조영술의 특징을 각각 분석하였다. 또한 퇴원 후 사용된 약물, 입원 초기 합병증 및 MACEs를 비교·분석하였다.

통계 분석 방법

통계처리는 SPSS for Windows 20.0 (Statistical Package forthe Social Science, SPSS Inc., Chicago, USA)를 이용하였다. 연속형 변수는 평균 ± 표준편차로 표시하였고, 범주형 변수는 빈도 및 율(%)로 기술하였다. 양군 사이의 비교는 연속변수에 대하여는 t-test를 이용하여 검정하였고, 범주형 변수에 대하여는 chi-square test 또는 Fisher의 정확 검증 결과를 택하였다. 또한 단변량 분석에서 양군 간에 의미 있는 차이가 있었던 변수들을 대상으로 다변량 회귀분석(multivariate logistic regression analysis)을 시행하였다. 두 군 간의 나이, 성별, 체중, 가슴통증, 호흡곤란 여부, 수축기 혈압, 이완기 혈압, 고혈압, 당뇨병, 이상지질혈증, 흡연, 협심증, 진단명, Killip class, aspirin, clopidogrel, prasugrel, 베타차단제, 칼슘길항제, 안지오텐신 전환효소 억제제, 안지오텐신 수용체 차단제, 스타틴, 심인성 쇼크, 스텐트 혈전증, 심실성 빈맥증, 방실전도차단, 급성 신손상, 심폐소생술, 심박동기, 대동맥 내 풍선펌프, 체외막산소공급, 제세동을 공변량으로 propensity score matching (PSM)을 시행하였다(Fig. 1). Cliper width를 0.1 SD로 설정하였고 이를 통해 99%의 bias를 제거하였으며, PSM 후 시행한 C-statistics 값은 0.734로 측정되었다. 모든 자료는 p값이 0.05 미만일 때 통계적으로 유의한 것으로 판단하였다.

Figure 1.

Covariate balance between groups after propensity score matching. SBP, systolic blood pressure; DBP, diastolic blood pressure; ARB, angiotensin Ⅱ receptor blocker; HR, heart rate; DM, diabetes mellitus ; CPR, cardiopulmonary resuscitation; BMI, body mass index; CCB, calcium channel blocker; AKI, acute kidney injury; ACEi, angiotensin converting enzyme inhibitors; HTN, hypertension; PPM, permanent pacemaker; ECMO, extra corporeal membrane oxygenation; IABP, intra-aortic balloon pump.

결 과

임상적 특성

입원 초기 허혈성 심근병증이 발생한 Ⅰ군에서 허혈성 심근병증이 발생하지 않은 Ⅱ군에 비하여 평균 연령이 높았다(67.1 ± 11.9세 vs. 62.5 ± 12.2세, p= 0.004). ST 분절 상승 심근경색증(65.2% vs. 46.2%, p= 0.004), 내원 당시 Killip class (p= 0.008), 수축기 혈압(118.0 ± 21.1 mmHg vs. 124.1 ± 23.3 mmHg, p= 0.047)이 양군 간에 유의한 차이를 보였다. 그러나 성별과 체질량 지수, 심혈관 질환의 위험인자인 고혈압, 당뇨병, 이상지질혈증, 관상동맥질환에 대한 가족력과 흡연력은 양군 간의 유의한 차이를 보이지 않았다. Ⅰ군에서 내원 당시 호흡곤란 증상은 Ⅱ군보다 의미 있는 차이를 보이지 않았다(Table 1).

Baseline clinical characteristics

진단검사의학 소견 및 심장초음파 소견

내원 시에 시행한 혈액 검사에서 Ⅰ군 환자에서 Ⅱ군에 비해 백혈구(12,340 ± 4,235 mm3 vs. 10,560 ± 4,057 mm³, p= 0.001), creatine kinase (CK) (1,567.1 ± 2,261.8 UL vs. 781.9 ± 1,801.7 UL, p= 0.009), CK-MB (163.9 ± 124.6 U/L vs. 87.8 ± 102.9 U/L, p< 0.001), troponin-I (124.2 ± 113.5 ng vs. 44.5 ± 113.5 ng, p< 0.001) 수치가 유의하게 높았다. 당화혈색소(hemoglobin A1c, Hb A1c)는 Ⅰ군에서 6.6 ± 1.7%, Ⅱ군에서 6.5 ± 1.6%로 두 군 간에 차이는 없었으나(p= 0.679), 내원 시 혈당은 Ⅰ군에서 201.7 ± 104.4 mg/dL, Ⅱ군에서 164.7 ± 75.5 mg/dL로 높았다(p= 0.007). High sensitive C-reactive protein, N-terminal pro-B-type natriuretic peptide는 양군 간 의미 있는 차이를 보이지 않았다.

내원 초기 심장초음파 검사로 측정한 좌심실 확장기말 직경은 Ⅰ군에서 유의하게 증가되어 있었다(54.1 ± 7.2 mm vs. 49.3 ± 5.3 mm, p< 0.001). 변형된 Simpson의 방법[8]에 의해 측정한 LVEF는 Ⅰ군에서 41.7 ± 10.5%, Ⅱ군에서 55.4 ± 10.3%로 양군에서 유의한 차이가 있었다(p< 0.001). E/A ratio (1.19 ± 0.7 vs. 0.95 ± 0.5, p= 0.017), 초기 승모판 혈류속도와 초기 승모판륜 속도와의 비(E/e' ratio)값도 Ⅰ군에서 Ⅱ군보다 더 높았다(16.7 ± 7.8 vs. 12.7 ± 6.1, p= 0.001). 추적 검사에서 시행한 초음파 검사 결과에서 양군 간에 LVEF (39.8 ± 7.6% vs. 60.2 ± 9.5%)와 LVEDD (60.1 ± 4.1 mm vs. 49.6 ± 4.9 mm)가 유의하게 차이가 있었다(Table 2).

Baseline laboratory and echocardiographic findings

관상동맥 조영술에서 병변의 특성

관상동맥 조영술에서 표적 혈관(target vessel)의 병변 위치, 병변 혈관 수(number of involved vessels), ACC/AHA classification에 의한 혈관 병변의 특징 그리고 PCI 후 TIMI flow에서는 유의한 차이는 없었다. 관상동맥 조영술에서 특징과 PCI의 성공률에서 양군 간에 유의한 차이를 발견할 수 없었다. 스텐트 직경, 길이 및 숫자는 양군 간에 유의한 차이가 없었다(Table 3).

Comparison of procedural and coronary angiographic findings

처방 약물

추적 검사 시 두 군 간에 사용된 약제에 대해서는 aspirin, clopidogrel, prasugrel, 칼슘길항제, 안지오텐신 전환효소 억제제, 스타틴의 사용은 비슷하였으나, Ⅰ군에서 Ⅱ군에 비하여 베타차단제(75.8% vs. 93.1%, p< 0.001)와 안지오텐신 수용체 차단제(49.7% vs. 83.8%, p= 0.005)의 사용이 적었다(Table 4).

Comparison of prescribed medications at 1-year follow-up

병원 내 임상 경과 및 추적 관찰 결과

입원기간 중 합병증에서 스텐트 혈전증(6.1% vs. 0.2%, p= 0.001), 급성 신손상(3.0% vs. 0.2%, p= 0.040), 총 심장 사건(48.5% vs. 22.7%, p< 0.001)이 양군 간의 유의한 차이가 있었다. 심인성 쇼크, 심실성 빈맥증, 방실전도차단은 양군 사이에서 유의한 차이를 보이지 않았다. 입원기간 중 합병증과 관련된 심박동기, 대동맥 내 풍선 펌프, 체외막산소공급의 보조적 치료를 받는 경우는 양군 간에 의미 있는 차이는 없었다. 심폐소생술은 Ⅰ군에서 Ⅱ군에 비하여 유의하게 많았다(12.1% vs. 4.6%, p= 0.012). 병원 내 재원기간은 Ⅰ군이 Ⅱ군에 비하여 재원기간이 길었다(10.6 ± 6.2일 vs. 7.3 ± 6.9일, p< 0.001) (Table 5).

In-hospital clinical outcomes

모든 환자를 1년간 임상적으로 추적 관찰한 결과, 심인성 사망, 심근경색증의 재발 및 재관류는 양군에서의 차이는 없었다. 그러나 Ⅰ군에서 Ⅱ군에 비하여 총 주요 심장 사건(42.4% vs. 18.9%, p< 0.001)과 재입원(33.3% vs. 4.0%, p< 0.001)의 발생 비율이 많았다(Table 6).

Clinical outcomes at 1-year follow-up

허혈성 심근병증 발생과 관련된 독립적 요인 예측인자

단변량 회귀분석 결과 허혈성 심근병증 독립적 예측인자는 연령 65세 이상, ST 분절 상승 심근경색증, Killip class Ⅱ 이상, WBC ≥ 10,000/mm³, CK-MB, troponin I, LVEF < 50%, LVEDD > 55 mm, E/e' ratio ≥ 15, E/A ratio ≥ 1.0, 심장사건, 스텐트 혈전증, 급성 신손상, 심폐 소생술, 병원재원 기간, 베타차단제, 안지오텐신 수용체 차단제였다. 다변량 로지스틱 회귀분석 결과 허혈성 심근병증의 독립적인 예측인자는 LVEF < 50% (OR 8.722, CI 2.986-25.478, p< 0.001), LVEDD > 55 mm (OR 4.511, CI 1.561-13.038, p= 0.005), E/e' ratio ≥ 15 (OR 3.270, CI 1.168-9.155, p= 0.024)로 파악되었다(Table 7).

Predictors of ischemic cardiomyopathy according to multivariate logistic regression analysis

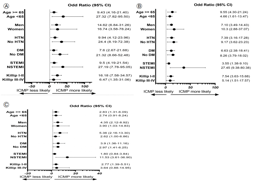
PSM을 통해 보정한 다변량 로지스틱 회귀분석 결과도 일관성 있게 LVEF < 50% (OR 5.744, CI 1.925-17.138, p= 0.002), LVEDD > 55 mm (OR 3.332, CI 1.103-10.065, p= 0.033), E/e' ratio ≥ 15 (OR 3.104, CI 1.047-9.205, p= 0.041)로 허혈성 심근병증의 독립적 예측인자임을 확인할 수 있었다(Table 8). 세부집단 간의 분석 결과 허혈성 심근병증 예측인자 LVEF < 50%, LVEDD > 55 mm, E/e’ ≥ 15는 대부분의 집단에서 1년 뒤 허혈성 심근병증을 예측할 수 있었다(Fig. 2).

Predictors of ischemic cardiomyopathy according to multivariate logistic regression analysis after propensity score matching

Figure 2.

Results of primary endpoint analysis according to subgroup in patients with (A) an LVEF < 50%, (B) LVEDD > 55 mm, and (C) E/e’ ≥ 15.

고 찰

이 연구는 급성 심근경색증 환자에서 성공적인 PCI를 시술 받은 후 허혈성 심근병증 발생을 예측할 수 있는 인자를 알아보고자 진행하였으며, 초기 심장초음파 검사에서 LVEF < 50%, LVEDD > 55 mm, E/e' ratio ≥ 15가 허혈성 심근병증 발생의 독립적 예측인자임을 확인할 수 있었다.

PCI는 경색 크기를 감소시키고 좌심실 기능을 보존하며, 경색관련 동맥의 조기 및 혈류를 지속적으로 유지시켜 주어 좌심실 재형성을 줄이는 데 중요한 역할을 하고 있다[16]. 그러나 일부 심근경색증 환자에서는 심근 괴사 부위가 심근세포의 소실로 이완되고 얇아지고, 시간이 지남에 따라 좌심실 재형성이 일어난다. 비록 조기에는 경색에 대해 보상적으로 작용하지만 결국은 좌심실 기능부전을 초래한다[4]. 좌심실 재형성과 좌심실 기능부전은 심부전으로 진행되기도 하고 사망률을 결정하는 중요한 인자가 되기도 한다. 심장기능의 가장 보편적인 척도인 좌심실 수축기능은 다른 요인보다 좌심실 재형성의 정도에 영향을 받는다[5,17,18]. 결국 좌심실 재형성을 억제하는 것이 예후를 호전시키는 주된 방법이다. 급성 심근경색증 발병 후에는 금기사항이 없는 한 베타차단제, 안지오텐신전환효소 억제제, 스타틴 계열의 약물을 사용하게 된다[19]. Hu 등 [20]은 베타차단제는 심근경색증 후 경색의 크기가 큰 경우와 초기에 사용하였을 때 심실 용적이 증가하지 않았다고 보고하였다. 또한 베타차단제는 심근경색의 크기를 줄이는 효과 이외에도 치명적인 부정맥에 의한 사망을 줄여주는 효과가 있다. 고혈압과 심근경색증에서 renin-angiotensin system은 심박출량을 유지하면서 심장의 질량과 용적을 감소시킨다. 안지오텐신전환요소 억제제는 좌심실의 기능부전과 재형성을 예방하여 임상 증상을 호전시키는 것으로 알려져 있다. Lim 등[21]은 안지오텐신전환효소 억제제의 사용이 급성 심근경색증 후 좌심실 개선의 중요한 인자라고 하였다. 안지오텐신전환효소 억제제 사용이 어려운 경우 안지오텐신 Ⅱ 수용체 차단제를 대신 사용할 수 있다[22].

본 연구에서는 허혈성 심근병증이 발생한 환자에서는 퇴원 전 심장초음파 검사에서 LVEF가 감소하였으며, 초기부터 LVEDD이 증가하였다. 추적 심장초음파 검사에서는 성공적인 PCI를 시술 받았음에도 LVEF는 지속적으로 저하되어 있었으며, LVEDD이 초기 검사보다 증가되어 있어 시간이 경과할수록 좌심실 재형성이 진행하였음을 알 수 있다. 본 연구에서는 내원 시 수축기 혈압이 I군이 II군에 비해 유의하게 낮았으며, 이로 인해 두 군간의 베타차단제, 안지오텐신 Ⅱ 수용체 차단제의 약제 사용에서 차이가 있었음을 배제할 수 없었다. 이후 PSM을 통해 변수를 보정한 후 재분석한 결과에서도 베타차단제, 안지오텐신 Ⅱ 수용체 차단제 약제 투약 빈도에 따른 두 군 간의 차이점은 없었다. 그러므로 퇴원 전 심장초음파 검사에서 LVEF의 감소와 초기부터 LVEDD의 증가가 허혈성 심근병의 진행에 영향을 주었음을 알 수 있었다.

급성 심근경색증으로부터 생존한 환자의 예후를 결정하는 인자로는 환자의 연령, 관상동맥 병변의 정도, 심실성 부정맥의 발생 등과 함께 좌심실 부전증인 것으로 알려져 있다[23]. 본 연구에서 Ⅰ군은 Ⅱ군에 비해 평균 연령이 많았는데, 고령에서 나타나는 심장질환은 좌심실 기능이 저하되어 있고 동반질환을 갖는 경우가 많다는 보고가 있다[24,25]. Yoon 등[26]은 병원 내 합병증을 경험하였던 환자에서 나쁜 예후를 보였으며, 1년 내 장기 추적 시에 MACEs가 더 많이 발생하였다고 보고하였다. 본 연구에서도 Ⅰ군에서 병원 내 합병증이 많았으며, 1년 추적 시 MACEs가 더 많이 발생하였고 재입원도 더 많았다. 또한 입원 시 병원 내 합병증 중 심장 사건 발생으로 인해 추가적인 심근손상을 받아서 좌심실 재형성과 수축기능에 영향을 주었을 것으로 사료된다.

Han 등[27]은 급성 심근경색증 환자에서 응급실 내원 시 백혈구 수는 재관류 치료 후의 심근손상의 정도를 결정하는 예후 인자로 적용할 수 있다고 보고하였다. 급성 심근경색증 환자에서 내원 시 측정한 혈당은 급성 허혈에 의한 대사성 스트레스에 의해 영향을 받을 수 있는 것으로 알려져 있으며, 내원 시 고혈당 환자가 혈당이 낮았던 환자보다 입원 시와 1년 후 사망률이 높았다고 보고하였다[28]. 고혈당은 심근경색증 환자에서 흔히 나타나며 심혈관 위험의 독립적 예측인자이다[29]. 또한 백혈구 수치가 높고 고혈당을 가진 환자들이 병원 내 사망과 밀접한 관련이 있다고 보고하였다[30]. 본 연구에서도 Ⅰ군에 비해 Ⅱ군에서 백혈구 수치가 높았고, 당뇨병이 비교적 잘 조절되고 있었음에도 내원 시 혈당이 유의하게 높아서 비교적 나쁜 예후를 예측할 수 있었다.

심부전증은 여러 가지 원인에 의해 발생할 수 있지만 심근경색증 후에 발생하는 경우가 많으며[31], E/e' ratio는 폐모세혈관 쐐기압을 잘 반영해주는 검사로서 심장질환 환자에게 유용하게 사용할 수 있다[32]. E/e' ratio 15 이상은 심부전을 진단하는데 유용한 좌심실 이완기 압력(left ventricular diastolic pressure)을 대변하는 수치이다[33]. 이 연구에서는 허혈성 심근병증이 발생한 군(Ⅰ군)이 심장초음파 검사에서 E/A 비의 증가와 감속 시간의 감소, E/e’ ≥ 15 증가는 이완기 기능의 장애와 함께 심부전이 같이 병행하였음을 시사하였다.

본 연구의 제한점으로는 첫째, 단일 센터의 환자군을 대상으로 한 후향적인 연구로 이루어진 점, 둘째, 급성 심근경색증으로 PCI 시술을 시행 받은 환자들만을 대상으로 하였다는 점, 셋째, 실제 PCI를 받았던 급성 심근경색증 환자들 중 1년 추적 심장초음파가 모두 시행되지 않았다는 점, 넷째, 본 연구의 결과에 있어 베타차단제, 안지오텐신 Ⅱ 수용체 차단제 약제 투약 빈도에 따른 bias가 개입되었을 점, 다섯째, 심장사건이라는 병원 내 합병증이 이차적인 심장 손상을 주어 좌심실 수축기능과 재형성에 영향을 주어 결과에 대해 bias로 작용할 수 있다는 점이다.

급성 심근경색증 환자에서 성공적인 PCI 시술 후 추적 심장초음파 검사를 통해 허혈성 심근병증이 발생한 환자를 분석한 결과, 입원 당시 심장초음파 검사로 측정된 LVEF < 50%, LVEDD > 55 mm, E/e’ 15이상이 허혈성 심근병증의 독립적 예측인자였다. 따라서 급성 심근경색증 후에 허혈성 심근병증의 예측인자를 갖고 있는 환자를 고위험 환자 군으로 분류하여, 주의 깊게 관찰하고 허혈성 심근병증의 발생을 예방하기 위하여 적극적인 치료가 필요할 것으로 사료되었다.

Acknowledgements

This study was supported by grants of The Korean Health Technology R & D Project, Ministry of Health & Welfare (HI13C1527) and the Research of Korea Centers for Disease Control and Prevention (2016-ER6304-01), Republic of Korea.

References

1. Hyun DW, Kim KS, Synn YC, et al. Clinical characteristics of acute myocardial infarction died during hospitalization. Korean Circ J 1998;28:1518–1526.
2. Hong YJ, Jeong MH, Lee SH, et al. The long-term clinical outcomes after rescue percutaneous coronary intervention in patients with acute myocardial infarction. J Interv Cardiol 2003;16:209–216.
3. Puymirat E, Simon T, Steg PG, et al. Association of changes in clinical characteristics and management with improvement in survival among patients with ST-elevation myocardial infarction. JAMA 2012;308:998–1006.
4. Sutton MG, Sharpe N. Left ventricular remodeling after myocardial infarction: pathophysiology and therapy. Circulation 2000;101:2981–2988.
5. Felker GM, Shaw LK, O'Connor CM. A standardized definition of ischemic cardiomyopathy for use in clinical research. J Am Coll Cardiol 2002;39:210–218.
6. Tenenbaum A, Fisman EZ, Motro M. Toward a redefinition of ischemic cardiomyopathy: is it an indivisible entity? J Am Coll Cardiol 2002;40:205–206.
7. Bart BA, Shaw LK, McCants CB Jr, et al. Clinical determinants of mortality in patients with angiographically diagnosed ischemic or nonischemic cardiomyopathy. J Am Coll Cardiol 1997;30:1002–1008.
8. Lang RM, Badano LP, Mor-Avi V, et al. Recommendations for cardiac chamber quantification by echocardiography in adults: an update from the American Society of Echocardiography and the European Association of Cardiovascular Imaging. Eur Heart J Cardiovasc Imaging 2015;16:233–70.
9. Sawada SG, Ryan T, Segar D, et al. Distinguishing ischemic cardiomyopathy from nonischemic dilated cardiomyopathy with coronary echocardiography. J Am Coll Cardiol 1992;19:1223–1228.
10. Yancy CW, Jessup M, Bozkurt B, et al. 2013 ACCF/AHA guideline for the management of heart failure: a report of the American College of Cardiology Foundation/American Heart Association Task Force on Practice Guidelines. J Am Coll Cardiol 2013;62:e147–e239.
11. Kim JH, Chae SC, Oh DJ, et al. Multicenter cohort study of acute myocardial infarction in Korea - interim analysis of the Korea acute myocardial infarction registry-National Institutes of Health Registry. Circ J 2016;80:1427–1436.
12. Thygesen K, Alpert JS, White HD, ; Joint ESC/ACCF/AHA/WHF Task Force for the Redefinition of Myocardial Infarction. Universal definition of myocardial infarction. J Am Coll Cardiol 2007;50:2173–2195.
13. Scanlon PJ, Faxon DP, Audet AM, et al. ACC/AHA guidelines for coronary angiography. A report of the American College of Cardiology/American Heart Association task force on practice guidelines (Committee on Coronary Angiography). Developed in collaboration with the society for cardiac angiography and interventions. J Am Coll Cardiol 1999;33:1756–1824.
14. Kini AS. Coronary angiography, lesion classification and severity assessment. Cardiol Clin 2006;24:153–162.
15. Smith SC Jr, Feldman TE, Hirshfeld JW Jr, et al. ACC/AHA/SCAI 2005 guideline update for percutaneous coronary intervention--summary article: a report of the American College of Cardiology/American Heart Association task force on practice guidelines (ACC/AHA/SCAI Writing Committee to update the 2001 guidelines for percutaneous coronary intervention). J Am Coll Cardiol 2006;47:e1–e121.
16. Bolognese L, Neskovic AN, Parodi G, et al. Left ventricular remodeling after primary coronary angioplasty: patterns of left ventricular dilation and long-term prognostic implications. Circulation 2002;106:2351–2357.
17. Konstam MA, Kramer DG, Patel AR, Maron MS, Udelson JE. Left ventricular remodeling in heart failure: current concepts in clinical significance and assessment. JACC Cardiovasc Imaging 2011;4:98–108.
18. Zaliaduonyte-Peksiene D, Simonyte S, Lesauskaite V, et al. Left ventricular remodelling after acute myocardial infarction: impact of clinical, echocardiographic parameters and polymorphism of angiotensinogen gene. J Renin Angiotensin Aldosterone Syst 2014;15:286–293.
19. AHA, ; ACC, ; National Heart, Lung, and Blood Institute, et al. AHA/ACC guidelines for secondary prevention for patients with coronary and other atherosclerotic vascular disease: 2006 update endorsed by the National Heart, Lung, and Blood Institute. J Am Coll Cardiol 2006;47:2130–2139.
20. Hu K, Gaudron P, Ertl G. Long-term effects of beta-adrenergic blocking agent treatment on hemodynamic function and left ventricular remodeling in rats with experimental myocardial infarction: importance of timing of treatment and infarct size. J Am Coll Cardiol 1998;31:692–700.
21. Lim SC, Rhee JA, Jeong MH, et al. Predictive factors for the recovery of left ventricular dysfunction in patients with acute myocardial infarction. Korean Circ J 2007;37:113–118.
22. Kim KH, Jeong MH, Park JC, et al. The comparison among low and high doses of imidapril, and combined imidapril with losartan in patients with ischemic heart failure after coronary intervention. Korean Circ J 2000;30:965–972.
23. Lee CH, Joo SJ, Park DS, et al. Remodeling and changes of systolic and diastolic functions of left ventricle after acute myocardial infarction:comparison according to killip class at admission. Korean Circ J 1998;28:1727–1739.
24. Floyd KC, Jayne JE, Kaplan AV, et al. Age-based differences of percutaneous coronary intervention in the drug-eluting stent era. J Interv Cardiol 2006;19:381–387.
25. Guagliumi G, Stone GW, Cox DA, et al. Outcome in elderly patients undergoing primary coronary intervention for acute myocardial infarction: results from the controlled abciximab and device investigation to lower late angioplasty complications (CADILLAC) trial. Circulation 2004;110:1598–1604.
26. Yoon HJ, Jeong MH, Kim KH, et al. Predictors of in-hospital complications and one-year clinical events in patients with acute myocardial infarction. Korean J Med 2009;77:723–733.
27. Han JH, Youn TJ, Hong ES, et al. The relationship between initial leukocyte count and the extent of myocardial injury in patients with acute myocardial infarction who received reperfusion therapy. Korean Circ J 2004;34:735–742.
28. Kim EJ, Park OJ, Jeong MH, et al. Admission glucose is a useful prognostic factor in patients with acute myocardial infarction. Korean J Med 2010;79:23–31.
29. Kim EJ, Jeong MH, Kim JH, et al. Clinical impact of admission hyperglycemia on in-hospital mortality in acute myocardial infarction patients. Int J Cardiol 2017;236:9–15.
30. Ishihara M, Kojima S, Sakamoto T, et al. Usefulness of combined white blood cell count and plasma glucose for predicting in-hospital outcomes after acute myocardial infarction. Am J Cardiol 2006;97:1558–1563.
31. Minicucci MF, Azevedo PS, Polegato BF, Paiva SA, Zornoff LA. Heart failure after myocardial infarction: clinical implications and treatment. Clin Cardiol 2011;34:410–414.
32. Dokainish H, Zoghbi WA, Lakkis NM, et al. Optimal noninvasive assessment of left ventricular filling pressures: a comparison of tissue Doppler echocardiography and B-type natriuretic peptide in patients with pulmonary artery catheters. Circulation 2004;109:2432–2439.
33. Arques S, Roux E, Luccioni R. Current clinical applications of spectral tissue Doppler echocardiography (E/E' ratio) as a noninvasive surrogate for left ventricular diastolic pressures in the diagnosis of heart failure with preserved left ventricular systolic function. Cardiovasc Ultrasound 2007;5:16.

Article information Continued

Figure 1.

Covariate balance between groups after propensity score matching. SBP, systolic blood pressure; DBP, diastolic blood pressure; ARB, angiotensin Ⅱ receptor blocker; HR, heart rate; DM, diabetes mellitus ; CPR, cardiopulmonary resuscitation; BMI, body mass index; CCB, calcium channel blocker; AKI, acute kidney injury; ACEi, angiotensin converting enzyme inhibitors; HTN, hypertension; PPM, permanent pacemaker; ECMO, extra corporeal membrane oxygenation; IABP, intra-aortic balloon pump.

Figure 2.

Results of primary endpoint analysis according to subgroup in patients with (A) an LVEF < 50%, (B) LVEDD > 55 mm, and (C) E/e’ ≥ 15.

Table 1.

Baseline clinical characteristics

Group Ⅰ(n=66) Group Ⅱ (n=481) p-value
Age (years) 67.1 ± 11.9 62.5 ± 12.2 0.004
Males 52 (78.8) 337 (70.1) 0.142
BMI (kg/m²) 24.3 ± 3.0 24.5 ± 3.5 0.623
Symptoms
 Chest pain 55 (83.3) 424 (88.1) 0.266
 Dyspnea 12 (18.2) 51 (10.6) 0.071
Vital signs on admission
 SBP (mmHg) 118.0 ± 21.1 124.1 ± 23.3 0.047
 DBP (mmHg) 76.6 ± 12.3 78.2 ± 14.6 0.411
 Heart rate (beats/min) 82.0 ± 19.3 79.5 ± 17.2 0.280
Cardiovascular risk factors
 Hypertension 33 (50.0) 250 (52.0) 0.763
 Diabetes mellitus 24 (36.4) 135 (28.1) 0.164
 Dyslipidemia 4 (6.1) 45 (9.4) 0.494
 Smoking 41 (62.1) 281 (58.5) 0.579
 Prior angina 6 (9.1) 43 (8.9) 0.968
 Family history 2 (3.0) 31 (6.4) 0.409
Clinical diagnosis 0.004
 STEMI 43 (65.2) 222 (46.2)
 NSTEMI 23 (34.8) 259 (53.8)
Killip class 0.008
 Ⅰ 43 (65.2) 383 (79.6)
 Ⅱ 6 (9.1) 44 (9.1)
 Ⅲ 11 (16.7) 30 (6.2)
 Ⅳ 6 (9.1) 24 (5.0)

Values are presented as the means ± standard deviation or numbers (%).

STEMI, ST-segment elevation myocardial infarction; NSTEMI, non-ST-segment elevation myocardial infarction; BMI, body mass index; SBP, systolic blood pressure; DBP, diastolic blood pressure.

Table 2.

Baseline laboratory and echocardiographic findings

Group Ⅰ(n=66) Group Ⅱ(n=481) p-value
Laboratory findings
 WBC (/mm3) 12,340 ± 4,235 10,560 ± 4,057 0.001
 Glucose (mg/dL) 201.7 ± 104.4 164.7 ± 75.5 0.007
 Creatinine (mg/dL) 1.3 ± 1.2 1.00 ± 1.0 0.096
 Total cholesterol (mg/dL) 170.9 ± 45.4 178.2 ± 45.2 0.216
 HDL-cholesterol (mg/dL) 41.7 ± 12.9 40.2 ± 10.3 0.293
 LDL-cholesterol (mg/dL) 112.0 ± 40.9 114.3 ± 41.8 0.680
 Creatine kinase (U/l) 1,567.1 ± 2,261.8 781.9 ± 1,801.7 0.009
 CK-MB (U/l) 163.9 ± 124.6 87.8 ± 102.9 < 0.001
 Troponin I (ng/dL) 124.2 ± 113.5 44.5 ± 56.9 < 0.001
 hs-CRP (mg/dL) 3.84 ± 6.7 1.42 ± 3.2 0.120
 NT pro-BNP (pg/mL) 3,377.9 ± 5,866.0 2,257.6 ± 4,925.2 0.156
 HbA1C (%) 6.6 ± 1.7 6.5 ± 1.6 0.679
Initial echocardiographic findings
 LVEF (%) 41.7 ± 10.5 55.4 ± 10.3 < 0.001
 LVEDD (mm) 54.1 ± 7.2 49.3 ± 5.3 < 0.001
 LVESD (mm) 42.1 ± 8.0 33.5 ± 5.9 < 0.001
 Indexed LVEDD (mm) 32.0 ± 5.1 28.8 ± 4.1 < 0.001
 Indexed LVESD (mm) 24.9 ± 5.4 19.6 ± 4.1 < 0.001
 LAD (mm) 39.9 ± 7.2 38.0 ± 6.0 0.072
 Deceleration time (ms) 166.2 ± 51.6 204.0 ± 61.5 < 0.001
 E/A ratio 1.19 ± 0.7 0.95 ± 0.5 0.017
 e’ 0.05 ± 0.02 0.06 ± 0.02 0.004
 E/e’ 16.7 ± 7.8 12.7 ± 6.1 0.001
Echocardiographic findings at 1-year follow-up
 LVEF (%) 39.8 ± 7.6 60.2 ± 9.5 < 0.001
 LVEDD (mm) 60.1 ± 4.1 49.6 ± 4.9 < 0.001
 LVESD (mm) 46.9 ± 5.3 32.9 ± 5.5 < 0.001
 Indexed LVEDD (mm) 35.3 ± 4.1 29.0 ± 3.7 < 0.001
 Indexed LVESD (mm) 27.6 ± 4.1 19.2 ± 3.8 < 0.001
 Deceleration time (ms) 196.2 ± 69.6 229.7 ± 65.9 < 0.001
 E/A ratio 1.53 ± 1.2 0.88 ± 0.4 < 0.001
 E/e’ 17.9 ± 9.9 11.4 ± 5.1 < 0.001

CK-MB, creatine kinase myoglobin; HDL, high-density lipoprotein; LDL, low-density lipoprotein; hs-CRP, high-sensitivity C-reactive protein; NT pro-BNP, N-terminal pro hormone brain natriuretic peptide; HbA1C, hemoglobin A1C; LVEF, left ventricular ejection fraction; LVESD, left ventricular end-systolic dimension; LVEDD, left ventricular end-diastolic dimension; LAD, left atrial dimension; e', early septal mitral annular velocity; E/e', ratio of early transmitral velocity to early septal mitral annular velocity.

Table 3.

Comparison of procedural and coronary angiographic findings

Group Ⅰ (n=66) Group Ⅱ (n=481) p-value
Symptom-to-door time (min) 1,248.7 ± 3,576.7 1,279.0 ± 3,527.5 0.948
 STEMI 319.9 ± 479.0 435.5 ± 928.5 0.427
 NSTEMI 2,985.3 ± 5,702.7 2,001.9 ± 4,612.5 0.338
Door-to-balloon time (min) 516.5 ± 1,641.6 497.1 ± 1,302.4 0.913
 STEMI 110.6 ± 236.7 65.1 ± 36.3 0.215
 NSTEMI 1,275.4 ± 2,632.6 867.4 ± 1,690.1 0.473
Target vessel 0.187
 Left main artery 2 (3.0) 12 (2.5)
 Left anterior descending artery 40 (60.6) 235 (48.9)
 Left circumflex artery 11 (16.7) 77 (16.0)
 Right coronary artery 13 (19.7) 157 (32.6)
Number of involved vessels 0.866
 Left main artery 2 (3.0) 18 (3.7)
 Three-vessel disease 9 (13.6) 51 (10.6)
 Two-vessel disease 18 (27.3) 125 (26.0)
 Single-vessel disease 37 (56.1) 287 (59.7)
ACC/AHA type 0.257
 A 0 0
 B1 6 (9.1) 34 (7.1)
 B2 41(62.1) 346 (71.9)
 C 19 (28.8) 101 (21.0)
Pre-PCI TIMI flow 0.150
 0 39 (59.1) 216 (44.9)
 Ⅰ 5 (7.6) 39 (8.1)
 Ⅱ 10 (15.2) 121 (25.2)
 Ⅲ 12 (18.2) 105 (21.8)
Post-PCI TIMI flow 0.780
 0 0 2 (0.4)
 Ⅰ 1 (1.5) 5 (1.0)
 Ⅱ 3 (4.5) 13 (2.7)
 Ⅲ 62 (93.9) 461 (95.8)
Stent diameter (mm) 3.21 ± 0.36 3.17 ± 0.43 0.497
Stent length (mm) 24.1 ± 7.1 22.9 ± 7.1 0.240
Stent number 0.852
 0 3 (4.5) 24 (5.0)
 1 53 (80.3) 368 (76.5)
 2 10 (15.2) 86 (17.9)
 3 0 (0) 3 (0.6)

Values are presented as mean ± standard deviation or number (%).

ACC/AHA, American College of Cardiology/American Heart Association; STEMI, ST-segment elevation myocardial infarction; NSTEMI, non-ST-segment elevation myocardial infarction; TIMI, thrombolysis in myocardial infarction.

Table 4.

Comparison of prescribed medications at 1-year follow-up

Medications Group Ⅰ(n=66) Group Ⅱ (n=481) p-value
Aspirin 66 (100) 474 (99.8) 1.000
Clopidogrel 46 (69.7) 335 (70.5) 0.890
Prasugrel 16 (24.2) 96 (20.2) 0.449
Beta-blocker 50 (75.8) 442 (93.1) < 0.001
Calcium channel blocker 5 (7.6) 60 (12.6) 0.237
ACE inhibitor 11 (16.7) 70 (14.7) 0.681
ARB 46 (69.7) 398 (83.8) 0.005
Statin 63 (95.5) 460 (96.8) 0.556

Values are presented as number (%).

ACE, angiotensin converting enzyme; ARB, angiotensin Ⅱ receptor blocker.

Table 5.

In-hospital clinical outcomes

Group Ⅰ(n=66) Group Ⅱ(n=481) p-value
In-hospital complications
 Cardiogenic shock 7 (10.6) 43 (8.9) 0.660
 Stent thrombosis 4 (6.1) 1 (0.2) 0.001
 Ventricular arrhythmia 7 (10.6) 27 (5.6) 0.115
 Atrioventricular block 4 (6.1) 20 (4.2) 0.516
 AKI 2 (3.0) 1 (0.2) 0.040
 Total cardiac events 32 (48.5) 109 (22.7) <0.001
Treatment during in-hospital stay
 CPR 8 (12.1) 22 (4.6) 0.012
 Pacemaker 5 (7.6) 29 (6.0) 0.626
 IABP 1 (1.5) 10 (2.1) 1.000
 ECMO 1 (1.5) 2 (0.4) 0.321
 Defibrillation 7 (10.6) 26 (5.4) 0.096
 Hospital stay (days) 10.6 ± 6.2 7.3 ± 6.9 <0.001

Values are presented as number (%).

AKI, acute kidney injury; CPR, cardiopulmonary resuscitation; IABP, intra-aortic balloon pump, ECMO, extracorporeal membrane oxygenation

Table 6.

Clinical outcomes at 1-year follow-up

Group I (n=66) Group II (n=481) p-value
Total MACEs, n (%) 28 (42.4) 91 (18.9) < 0.001
Cardiac death 0 (0) 3 (0.6) 1.000
Recurrent myocardial infarction 6 (9.1) 31 (6.4) 0.422
Re-PCI 9 (13.6) 66 (13.7) 0.985
Re-hospitalization 22 (33.3) 19 (4.0) < 0.001
Coronary artery bypass graft 0 (0) 2 (0.4) 1.000

MACEs, major adverse cardiac events; PCI, percutaneous coronary intervention.

Table 7.

Predictors of ischemic cardiomyopathy according to multivariate logistic regression analysis

Univariate
Multivariate
OR 95% CI p-value OR 95% CI p-value
Age ≥ 65 (years) 2.199 1.285–3.764 0.004 2.016 0.737–5.511 0.172
STEMI 2.181 1.275–3.732 0.004 0.984 0341–2.839 0.976
Killip class ≥ Ⅱ 2.090 1.203–3.633 0.009 0.741 0.267–2.057 0.565
SBP < 100 (mmHg) 1.478 0.591–3.695 0.403
WBC (≥ 10,000/mm³) 2.505 1.428–4.394 0.001 2.917 0.963–8.837 0.058
Glucose (≥ 200 mg/dL) 1.741 0.991–3.057 0.054
CK-MB (per 1 ng/mL) 1.006 1.003–1.008 < 0.001 1.002 0.997–1.007 0.380
Troponin I (per 1 ng/mL) 1.012 1.009–1.016 < 0.001 1.008 1.000–1.016 0.052
LVEF < 50% 14.876 7.542–29.344 < 0.001 8.722 2.986–25.478 < 0.001
LVEDD > 55 mm 7.817 4.210–14.516 < 0.001 4.511 1.561–13.038 0.005
E/e’ ≥ 15 3.352 1.855–6.059 < 0.001 3.270 1.168–9.155 0.024
E/A ratio ≥ 1.0 2.319 1.282–4.195 0.005 1.191 0.465–3.048 0.716
Cardiac event 3.212 1.895–5.445 < 0.001 1.220 0.425–3.500 0.712
Stent thrombosis 30.968 3.407–281.507 0.002 2.423 0.144–51.452 0.570
AKI 15.00 1.341–167.777 0.028 16.754 0.524–536.092 0.111
CPR 2.878 1.225–6.760 0.015 0.993 0.170–5.793 0.993
Hospital stay (days) 1.048 1.015–1.083 0.005 1.011 0.962–1.062 0.668
Beta blocker 0.233 0.120–0.454 < 0.001 0.336 0.112–1.008 0.052
ARB 0.445 0.249–0.794 0.006 0.844 0.318–2.236 0.733

OR, odds ratio; CI, confidence interval; STEMI, ST-segment elevation myocardial infarction; SBP, systolic blood pressure; WBC, white blood cells; LVEF, left ventricular ejection fraction; LVEDD, left ventricular end-diastolic dimension; E/e', ratio of early transmitral velocity to early septal mitral annular velocity; AKI, acute kidney injury; CPR, cardiopulmonary resuscitation.

Table 8.

Predictors of ischemic cardiomyopathy according to multivariate logistic regression analysis after propensity score matching

Multivariate
OR 95% CI p-value
Age ≥ 65 (years) 1.706 0.593–4.909 0.322
STEMI 0.703 0.220–2.242 0.551
Killip class ≥ Ⅱ 0.840 0.295–2.392 0.744
WBC (≥ 10,000/mm³) 3.131 0.929–10.552 0.066
CK-MB (per 1 ng/mL) 1.002 0.997–1.007 0.377
Troponin I (per 1 ng/mL) 1.008 0.999–1.016 0.079
LVEF < 50% 5.744 1.925–17.138 0.002
LVEDD > 55 mm 3.332 1.103–10.065 0.033
E/e’ ≥ 15 3.104 1.047–9.205 0.041
E/A ratio ≥ 1.0 1.026 0.379–2.775 0.960
Cardiac event 0.881 0.266–2.911 0.835
Stent thrombosis 2.174 0.106–44.578 0.614
CPR 1.060 0.177–6.341 0.949
Hospital stay (days) 1.076 0.980–1.181 0.122
Beta blocker 0.464 0.148–1.456 0.188
ARB 0.867 0.305–2.464 0.789

OR, odds ratio; CI, confidence interval; STEMI, ST-segment elevation myocardial infarction; SBP, systolic blood pressure; WBC, white blood cells; LVEF, left ventricular ejection fraction; LVEDD, left ventricular end-diastolic dimension; E/e', ratio of early transmitral velocity to early septal mitral annular velocity; AKI, acute kidney injury; CPR, cardiopulmonary resuscitation.