연명의료 중단 등 결정 및 이행 추이: 단절적 시계열 분석 연구

Trends in Life-Sustaining Treatment Decisions and Their Implementation: An Interrupted Time Series Analysis

Article information

Korean J Med. 2026;101(2):90-100
Publication date (electronic) : 2026 April 1
doi : https://doi.org/10.3904/kjm.2026.101.2.90
1Department of Medicines, Dong-A University College of Medicine, Busan, Korea
2Department of Medical Humanities, Dong-A University College of Medicine, Busan, Korea
3Department of Internal Medicine, Dong-A University College of Medicine, Busan, Korea
4Department of Physiology, Dong-A University College of Medicine, Busan, Korea
5Department of Data Sciences Convergence, Dong-A University College of Interdisciplinary Studies, Busan, Korea
하규빈1,*, 박완기1,*, 김정아2, 김도경2, 김혜련3, 손민국4,5
1동아대학교 의과대학 의학과
2동아대학교 의과대학 의료인문학교실
3동아대학교 의과대학 내과학교실
4동아대학교 의과대학 생리학교실
5동아대학교 학과간협동과정 데이터사이언스융합학과
Correspondence to: Minkook Son, M.D., Ph.D. Department of Physiology, Dong-A University College of Medicine, 32 Daesingongwon-ro, Seo-gu, Busan, 49201, Korea Tel: +82-51-240-2620, E-mail: physionet@dau.ac.kr
*

These authors contributed equally to this work as first authors.

Received 2025 March 10; Revised 2025 October 9; Accepted 2026 January 21.

Abstract

목적

연명의료결정법 시행 이후 연명의료 중단 등 결정 및 이행 관련 수가 시범사업이 2018년 2월에 시작되었으며 2022년 1월에는 본사업으로 전환되어 현재까지 진행되고 있다. 또한 2020년에 시작된 COVID-19 팬데믹은 의료 시스템과 연명의료 결정에 중대한 영향을 미쳤으며 이로 인해 수가사업 시행에 변화가 있었다. 따라서 본 연구는 수가사업 시행 기간 전반에 걸친 5년 8개월(2018년 2월-2023년 9월)을 대상으로 COVID-19 팬데믹과 본사업 전환이라는 두 가지 주요 사건에 주목하여 연명의료 결정 및 이행의 추이를 분석하고자 한다.

방법

본 연구에서는 2018년 2월부터 2023년 9월까지의 건강보험심사평가원 데이터를 바탕으로 연명의료 결정 및 이행의 추세 변화를 단절적 시계열 분석을 통해 관찰하였다. 특히 COVID-19의 발생과 본사업으로의 전환 두 가지 주요 사건에 초점을 맞추었다.

결과

단절적 시계열 분석을 COVID-19 발생(2020년 1월)을 기준점으로 하여 실시한 결과 연명의료 결정 및 이행과 관련된 대부분의 코드의 기울기가 COVID-19 발생 이후 감소한 것으로 나타났다. 의료기관 종별로 분석하였을 때 병원, 요양병원, 한방병원의 모든 코드에서 COVID-19 팬데믹 전후로 즉각적인 상승이 나타났다. 본사업 전환(2022년 1월)을 기준점으로 단절적 시계열 분석을 실시한 결과 본사업 전환 전후로 즉각적인 효과는 나타나지 않았다. 그러나 기관별 데이터에서는 종합병원, 병원, 요양병원, 한방병원 모두 모든 코드에서 기울기가 증가한 것으로 나타났다.

결론

본 연구는 COVID-19와 본사업 전환이 연명의료 결정 및 이행에 중요한 영향을 미쳤음을 보여주었다. 이러한 결과는 의료보험 급여화 프로그램의 평가 및 개선에 활용될 수 있다.

Trans Abstract

Background/Aims

Since enforcement of the Life-Sustaining Treatment (LST) Decisions Act, a pilot project for medical insurance reimbursement related to LST decisions and their implementation began in February 2018. This pilot project transitioned into a full-scale project in January 2022 that continues to this day.

Methods

We observed trend changes in LST decisions and their implementation by performing an interrupted time series analysis of data from the Health Insurance Review and Assessment Service from February 2018 to September 2023. We focused on two events: coronavirus disease 2019 (COVID-19) and the transition to a full-scale project.

Results

Our interrupted time-series analysis used the onset of COVID-19 (January 2020) as its reference point. The slopes of most codes for LST decisions and their implementation decreased following the onset of COVID-19. When divided by hospital class, all codes in hospitals, nursing hospitals, and oriental medicine hospitals showed immediate increases before and after the COVID-19 outbreak. A separate interrupted time series analysis was conducted using the transition to a full-scale project (January 2022) as the reference point. While no immediate effects were observed before or after transitioning to full-scale projects, in the institution-specific data, the slopes of all codes in general, nursing, and oriental medicine hospitals increased.

Conclusions

Our results reveal that COVID-19 and the transition to a full-scale project have significantly impacted LST decisions and their implementation. These findings can be used to evaluate and improve reimbursement programs.

서 론

2016년 2월 연명의료 중단 및 보류에 대한 절차를 제시한 「호스피스 완화의료 및 임종과정에 있는 환자의 연명의료결정에 관한 법률」 (이하 연명의료결정법)이 제정되었다. 연명의료결정법은 임종 과정에 있는 환자가 연명의료를 진행하거나 중단할지를 스스로 결정하고, 이 결정을 법적으로 보호함으로써 환자의 최선의 이익을 보장하고 환자의 자기결정권을 존중하는 것에 목적이 있다. 연명의료결정법 제정으로 법적 근거가 마련됨에 따라 의료기관윤리위원회 설치와 연명의료 결정 및 이행 과정에 대한 적정한 건강보험 적용 방안을 모색하기 위하여 수가 시범사업이 추진되었다[1].

2018년 2월 연명의료결정법이 시행된 후 현재까지 제도 이용이 꾸준히 늘어나고 있다[2]. 이러한 제도 이용은 환자의 성별, 연령, 교육 수준, 종교, 의학적 상태, 유병 기간, 경제적 부담감, 사회심리적 요인 등 다양한 요인에 영향을 받는다[3-5]. Coronavirus disease 2019 (COVID-19)와 같은 팬데믹 상황 역시 생애 말기 의료 환경 및 의료 이용에 영향을 미쳤다[6]. 이와 같은 상황에서 COVID-19 감염 위험과 기저 질환의 악화 가능성이 증가함에 따라 사전의료지시서(advance directives) 작성과 사전돌봄계획(advance care planning) 관련 문서 작성이 증가하였다는 국외 연구 결과도 보고된 바 있다[7].

특정 의료 행위에 대한 건강보험 수가의 책정 여부 역시 의료 이용 행태에 큰 영향을 미친다. 연명의료결정제도는 2018년 2월에 수가 시범사업 시행을 거쳐 2022년 1월에 본사업으로 전환되면서 연명의료 중단 등 결정 및 이행(연명의료 결정 및 이행)과 관련된 행위들에 대한 건강보험 수가가 책정되었다. 연명의료결정제도를 이용하는 국민이 증가함에 따라 수가 사업 시행 기간 전반에 걸친 연명의료 결정 운영 현황에 대한 세분화된 분석이 필요하다. 그러나 기존 연구들은 주로 수가 시범사업의 운영 현황에 대한 분석에 중점을 두었다[8,9]. 2018년 2월부터 2020년 7월까지의 수가 시범사업 운영 현황을 분석한 한 선행연구에 따르면 연명의료 결정 관련 수가 청구 금액은 전반적으로 증가하는 추세를 보였으며, 수가 항목 중 특히 연명의료계획료의 청구 횟수와 금액이 높았다. 연명의료계획료는 사전 의사결정이 확인된 경우, 사전 의사결정이 확인되지 않았으나 환자 의사 표현이 가능한 경우, 사전 의사결정이 확인되지 않고 환자 의사 표현이 불가능한 경우의 세 가지 형식으로 세분화되어 청구됨에도 불구하고 해당 연구에서는 이를 하나의 항목으로 통합 분석하였다는 한계가 있었다. 따라서 본 연구에서는 수가 사업 시행 기간 전반인 5년 8개월(2018년 2월-2023년 9월)의 기간을 대상으로 COVID-19 팬데믹과 본사업 전환이라는 두 가지 주요 사건에 주목하여 연명의료 결정 및 이행의 추이를 분석하고자 한다.

대상 및 방법

연구 자료

대한민국은 대부분의 인구를 포함하는 단일 건강보험 시스템을 운영하고 있다[10]. 본 연구는 연명의료결정법이 효력을 발휘하며 연명의료 결정 관련 수가 시범사업이 시작된 2018년 2월부터 2023년 9월까지 건강보험심사평가원 빅데이터개방 포털에서 의료통계 정보에 등록된 연명의료결정제도 행위별 수가 코드의 월별 데이터를 활용하였다.

변수

수가 코드

본 연구의 데이터에는 말기 환자 등 관리료(IA70), 연명의료계획료(IA71-IA73), 연명의료 이행 관리료(IA74)를 포함하였다. 연명의료 결정 관련 수가 시범사업은 2018년 2월에 시작되었고, 연명의료 결정 관련 수가 본사업은 2022년 1월에 시작되었다.

말기 환자 등 관리료(IA70)는 의료기관윤리위원회를 직접 운영하며 연명의료 결정 등과 관련된 제도 안내 및 상담 등을 제공하는 기관에 한하여 산정한다. 연명의료계획료(IA71-IA73)는 임종 단계의 환자 판단, 상담, 환자의 의사 확인 및 서식 작성 등 연명의료 계획을 위한 일련의 과정을 담당 의사가 연명의료결정법에 적합하게 진행하고 서식 등록을 완료한 경우 산정한다. 연명의료계획료는 사전 의사결정이 확인된 경우, 즉 사전연명의료의향서 기작성 환자(IA71)와 사전 의사결정이 확인되지 않은 경우(IA72, IA74)로 나뉜다. 사전 의사결정이 확인되지 않은 경우는 다시 의사 표현이 가능한 환자를 대상으로 한 경우(IA72)와 환자의 의사 표현이 불가능하여 다수의 가족을 대상으로 연명의료 계획을 진행한 경우(IA73)로 나뉜다. 연명의료이행관리료(IA74)는 연명의료 중단 등 결정에 따라 그 결정을 적합하게 이행한 후 서식 등록을 완료한 경우이다. 연명의료 결정 관련 행위별 수가 코드는 연명의료 결정 및 이행이 진행된 의료기관의 종별에 따라 상급종합병원(IAOO1), 종합병원(IAOO2), 병원·요양병원·한방병원(IAOO3), 의원·한의원(IAOO4)으로 구분되어 표기된다(Table 1).

Procedure codes for life-sustaining treatment decisions and their implementation

연명의료결정법 제정으로 임종 과정에 있는 환자의 연명의료 결정 및 이행에 대한 법적 근거가 마련됨에 따라 의료기관윤리위원회를 설치하고 연명의료 결정 및 이행과 관련된 일련의 과정을 수행하는 것에 대한 적정한 건강보험 적용 방안을 모색하기 위하여 연명의료 결정 관련 수가 시범사업이 추진되었다[1]. 사업 대상은 「연명의료결정법」 제14조에 따라 의료기관윤리위원회를 설치하고 보건복지부에 등록한 의료기관으로, 심폐소생술, 혈액 투석, 항암제 투여, 인공호흡기 착용이 모두 가능한 기관이다. 대상 환자는 「연명의료결정법」 제2조에 의거한 말기 환자 또는 임종 과정에 있는 환자이다. 시범사업의 주요 내용으로는 의료기관윤리위원회의 설치 및 운영, 말기 환자 등에 대한 제도 안내와 상담(IA70), 환자의 의사 확인 등 연명의료 계획(IA71-IA73), 연명의료 중단 등 결정 이행(IA74) 등이 있다.

연명의료 결정 관련 수가사업이 본사업으로 전환되면서 윤리위원회 운영 방식, 의학적 시술 기준, 인력 기준 등이 개선되었다. 공용윤리위원회의 설치 및 확대로 의료기관이 자체적으로 윤리위원회를 설치하지 못하더라도 공용윤리위원회 위탁 운영이 가능해졌고, 사업 대상이 심폐소생술, 혈액 투석, 항암제 투여, 인공호흡기 착용이 모두 수행 가능한 기관에서 심폐소생술, 혈액 투석, 인공호흡기 착용, 체외생명유지술 중 1개 이상 수행 가능한 기관으로 확대되었다[11].

또한 본사업으로 전환되면서 수가 코드 표기 방식이 변경되었다. 본 연구에서는 시범사업과 본사업의 수가 코드를 모두 시범사업의 수가 코드(IA71-IA74)로 통일하여 나타내었다(Table 1). 시범사업에서는 연명의료이행관리료(IA74)를 전원 여부에 따라 구분하지 않았지만 본사업에서는 같은 기관에서 계획과 이행이 모두 이루어진 경우(WU140, WU240, WU340, WU440)와 다른 기관에서 계획 수립 후 전원되어 이행하는 경우(WU150, WU250, WU350, WU450)를 구분하여 서로 다른 수가 코드를 부여하였다. 본 연구에서는 동일한 개념을 의미하는 시범사업의 코드(IA74)로 통일하여 나타내었다.

기저 특성 변수

2018년 2월부터 2023년 9월까지 건강보험심사평가원 빅데이터개방포털에서 의료통계 정보에 등록된 수가 코드 데이터를 추출하여 성별, 연령, 지역, 의료기관 종별의 총 4개의 변수를 정리하였다. 연령은 60세 미만과 60세 이상으로 나누었고 지역은 수도권(서울, 경기, 인천), 강원, 충청(대전, 충북, 충남, 세종), 전라(광주, 전북, 전남, 제주), 경상(부산, 대구, 울산, 경북, 경남)으로 구분하였다. 의료기관은 의료기관 종별에 따라 상급종합병원, 종합병원, 병원·요양병원·한방병원, 의원·한의원으로 구분하였다.

연구 기간

본 연구에서는 COVID-19 (2020년 1월) [12]와 수가사업의 본사업 전환(2022년 1월)이라는 2가지 사건을 기준으로 연구 대상 기간(2018년 2월-2023년 9월)을 세 구간으로 나누어 구간별 연명의료 결정 및 이행의 추세 변화를 확인하였다. 첫 번째로 시범사업 중 발생한 COVID-19의 영향을 파악하고자 전체 시계열 그래프와 의료기관 종별에 따른 시계열 그래프를 그려 분석하였다. 두 번째로 2022년 1월부터 본사업으로 전환됨에 따라 나타난 변화를 파악하고자 전체 시계열 그래프와 의료기관 종별에 따른 시계열 그래프를 그려 분석하였다.

통계 방법

확보한 데이터에 관하여 기본적인 기술통계 분석을 수행하였으며 모두 범주형 변수로 카이제곱 검정(chi-square test)을 이용하여 비교하였다. 연명의료결정법 관련 시계열 데이터에서 특정 사건이나 정책 개입의 효과를 추정하기 위한 준실험적 방법으로 단절적 시계열 분석을 활용하였다[13,14]. 단절적 시계열 분석 중 구간회귀 분석은 이전 추세를 통제하고 특정 사건이나 정책 개입의 변화를 분석할 수 있으며 시간의 흐름에 따라 수준 변화와 추세 변화를 측정할 수 있다. 다시 말해 사건 이전의 추세(pre-event trend)를 기준으로 사건 이후 변화가 단순한 연장선상(counterfactual trend)인지, 아니면 유의한 수준(level) 및 기울기(slope)의 변화가 발생하였는지를 평가한다. 수준 변화는 개입에 따른 즉각적 효과(단기 효과)이며 추세 변화는 점진적 효과(장기 효과)로, 개입 이전 대비 기울기의 증가 또는 감소를 통해 측정 가능하다. 본 연구에서는 COVID-19 (2020년 1월)과 본사업 전환(2022년 1월)이라는 특정 사건 및 정책 개입하에 분석을 수행하였다. 분석 모형은 다음과 같이 설정하였다.

Yt=α+β1×time+β2×event13×timesinceevent14×event25×-timesinceevent2tevent1=COVID-19,event2=

종속변수인 Yt는 해당 수가 코드의 등록 건수이며 β1는 COVID-19 이전의 추세 기울기이고 β2는 COVID-19로 인한 즉각적 효과, β3는 COVID-19 이후 기울기의 변화, 즉 점진적 효과를 의미한다. β4는 본사업 시행으로 인한 즉각적 효과, β5는 본사업 이후 기울기의 변화, 즉 점진적 효과를 의미한다. 본 연구에서는 β2에서 β5까지 계수의 유의성을 확인하고자 하였다. 모든 통계적 분석은 R version 4.3.0 (R Foundation for Statistical Computing, Vienna, Austria)을 사용하였다. 분석의 통계적 유의수준을 0.05로 설정하여 p< 0.05가 통계적으로 유의하다.

결 과

연구 집단의 기저 특성

연명의료이행관리료(IA74)의 경우 2018년 2월부터 2023년 9월까지 249,378건이 등록되었다. 시범사업 기간에 153,775건(61.7%), 본사업 전환 이후 95,603건(38.3%)이었다. 전 연구 기간 및 구간별 연구 집단의 기저 특성은 표 2에 제시하였다. 전 연구 기간의 성별 등록 건수는 남성 146,884건(58.9%), 여성 102,494건(41.1%)으로 남성이 더 많았으며, 연령별 등록 건수는 60세 미만 39,778건(16.0%), 60세 이상 209,600건(84.0%)으로 60세 이상이 더 많았다. 지역별 등록 건수는 수도권(서울, 경기, 인천)이 143,444건(57.6%)으로 절반 이상을 차지하였으며, 의료기관 종별로는 상급종합병원 148,237건(59.4%), 종합병원 95,627건(38.3%)으로 상급종합병원과 종합병원이 전체의 97.7%를 차지하였다. 시범사업 기간에 비해 본사업 기간에는 여성(41.7%) 및 60세 이상(85.9%)의 분율이 증가하였다. 또한 시범사업 기간과 비교하여 상급종합병원(57.3%)의 분율이 감소하였고 종합병원(39.1%) 및 병원·요양병원·한방병원(3.5%)의 분율이 증가하였다.

Baseline characteristics of the study population by study period

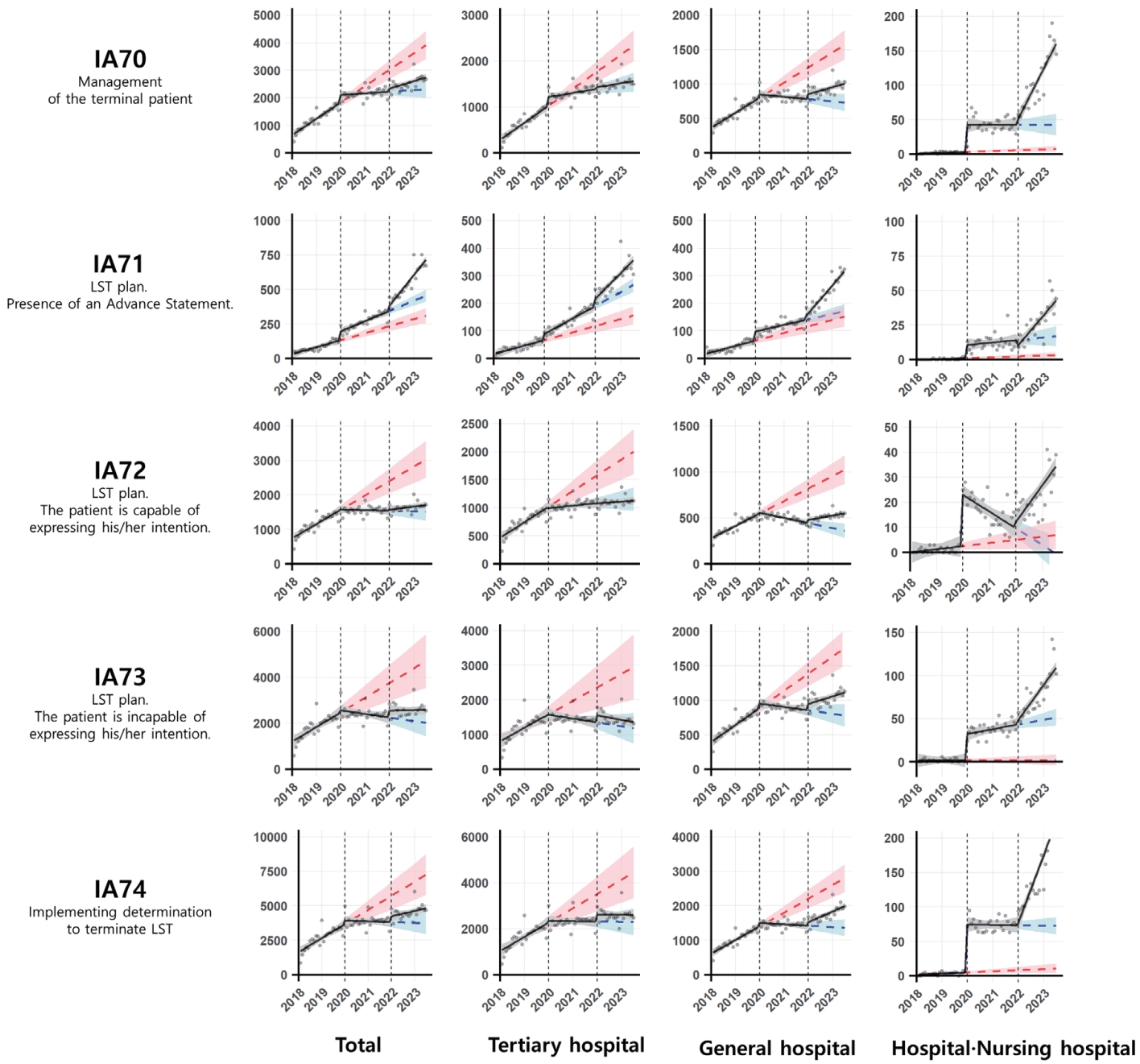
COVID-19 전후 연명의료 결정 및 이행

2020년 1월을 기준으로 단절적 시계열 분석을 진행하였으며 해당 결과는 표 3그림 1에 제시하였다. COVID-19 이후 IA70과 IA71의 즉각 상승이 나타났으며 사전연명의료의향서 기작성 환자에서의 연명의료계획료(IA71)를 제외한 IA70, IA72, IA73, IA74의 기울기 감소가 확인되었다. 의료기관 종별로는 병원·요양병원·한방병원에서 모든 코드(IA70-IA74)가 즉각 상승하였다. 이후 상급종합병원과 종합병원에서 사전연명의료의향서 기작성 환자에서의 연명의료계획료(IA71)를 제외한 모든 코드의 기울기가 감소하였다.

Effects of COVID-19 and transitioning to full-scale project

Figure 1.

Interrupted time series analysis of life-sustaining treatment decisions and their implementation. Dashed line means predicted trend based on unadjusted regression model.

본사업 전후 연명의료 결정 및 이행

2022년 1월을 기준으로 단절적 시계열 분석을 진행하였으며 해당 결과는 표 3그림 1에 제시하였다. 본사업에서는 즉각적 효과는 확인되지 않으며 의료기관 종별 데이터에서 종합병원과 병원·요양병원·한방병원의 모든 코드(IA70-IA74)의 기울기가 증가하였다. 다시 말해 단기적인 변화는 뚜렷하지 않았으나 중장기적으로는 증가 추세가 관찰되었다.

연명의료 결정 및 이행의 추가 분석 및 간접 비교

국가통계포털의 사망 월별 통계와 연계하여 연명의료이행 관리료(IA74) 등록 건수/사망자 수의 월별 비율을 산출하고 연명의료이행관리료(IA74) 등록 건수/사망자 수의 월별 비율 및 단절적 시계열 분석의 결과를 정리하였다(Supplementary Fig. 1; Supplementary Table 1). 또한 사전 의사결정이 확인되지 않은 경우(IA72 + IA73)의 단절적 시계열 분석 결과를 정리하였다(Supplementary Fig. 2; Supplementary Table 2).

연명의료결정 및 이행 등록 건수의 비율을 정리한 결과(Supplementary Fig. 3) 사전연명의료의향서 기작성 환자(IA71)의 등록 건수/연명의료이행관리료(IA74) 등록 건수의 비율은 증가 추세였으며 사전 의사결정이 확인되지 않은 경우(IA72, IA73, IA72 + IA73)의 등록 건수/연명의료이행관리료(IA74) 등록 건수의 비율은 감소 추세였다.

고 찰

본 연구는 연명의료결정제도 시행 후 5년 8개월의 기간을 COVID-19, 본사업 전환을 기준으로 세 구간으로 구분하여 구간별 연구 집단의 기저 특성을 분석하였고 연명의료 결정 및 이행에 대한 단절적 시계열 분석을 진행하였다.

연명의료이행관리료(IA74) 수가 코드를 통해 연구 집단의 구간별(COVID-19 이전, 2018년 2월부터 2019년 12월까지; COVID-19 이후, 2020년 1월부터 2021년 12월까지; 본사업 기간, 2022년 1월부터 2023년 9월까지) 기저 특성을 분석한 결과 세 구간 모두 남성이 여성보다 많았고 60세 이상이 많았다. 지역은 수도권(서울, 경기, 인천)이 많았고 의료기관 종별로는 상급종합병원과 종합병원이 많았다. 이는 선행 연구에서 제시한 수가 시범사업의 운영 현황과 유사한 결과였다[8,9]. 단 의료기관 종별 분율 변화에 주목할 만하다. 시범사업 기간 중 COVID-19 이전 구간에서는 의료기관 종별 분율이 상급종합병원 61.9%, 종합병원 38.0%, 병원·요양병원·한방병원 0.1%였고 COVID-19 이후 구간에서는 상급종합병원 60.1%, 종합병원 37.8%, 병원·요양병원·한방병원 1.9%였던 반면 본사업 전환 이후에는 상급종합병원 57.3%, 종합병원 39.1%, 병원·요양병원·한방병원 3.5%로 상급종합병원의 분율이 감소하고 병원·요양병원·한방병원의 분율이 유의미하게 증가하였다.

단절적 시계열 분석 결과 COVID-19 이후 상급종합병원과 종합병원에서 말기 환자 등 관리료(IA70), 사전 의사결정이 확인되지 않은 경우의 연명의료계획료(IA72, IA73), 연명의료이행관리료(IA74)의 기울기가 감소하였다. 다만 사전연명의료의향서 기작성 환자에서의 연명의료계획료(IA71) 그래프의 기울기는 감소하지 않았음에 주목할 만하다. COVID-19 전후의 추세 변화는 방역 정책을 비롯한 병원 안팎의 다양한 환경적 요인이 복합적으로 작용한 결과이며, 자료의 한계로 모든 요인을 온전히 반영하기는 어렵다. 그럼에도 불구하고 이러한 변화에 영향을 미쳤을 가능성이 있는 요인들은 다음과 같다. 첫째, COVID-19 이후 입원 환자 수가 의료기관 종과 관계없이 유의미하게 감소하였다[15,16]. 둘째, COVID-19 팬데믹으로 의사들의 업무 부담이 증가하면서 의사가 직접 법정 서식을 작성해야 하는 연명의료 결정 관련 행위가 감소하였을 가능성이 있다. 연명의료결정법에 따른 법정 서식의 다종 다양함과 이에 따른 행정 업무 부담은 선행 연구에서도 지적된 바 있다[8,17].

또한 COVID-19 이후 상급종합병원과 종합병원과는 달리 병원·요양병원·한방병원에서는 말기 환자 등 관리료(IA70), 연명의료계획료(IA71-IA73) 및 연명의료이행관리료(IA74)가 모두 즉각적으로 상승하였다. 이는 COVID-19로 인하여 요양병원에서 종합 및 상급종합병원으로의 전원이 어려워지면서[18] 요양병원들이 이러한 상황에 대비하기 위하여 연명의료결정제도를 활용하였을 가능성이 있다. 즉 적극적 치료가 가능한 의료기관으로 전원할 수 없는 상황에 대비하여 적극적 치료에 대한 보류를 사전에 결정해 두는 방편으로 연명의료결정제도가 활용되었을 수 있다.

본사업 이후 종합병원, 병원·요양병원·한방병원에서 말기 환자 등 관리료(IA70), 연명의료계획료(IA71- IA73) 및 연명의료이행관리료(IA74) 등 모든 수가 코드의 기울기가 증가하였다. 이를 바탕으로 수가사업이 본사업으로 전환되면서 이전에 연명의료결정제도에 참여하지 못했던 의료기관들의 참여가 증가하였음을 알 수 있다. 이는 2018년 2월 시범사업 시행부터 본사업까지 이어진 연명의료 결정 관련 수가사업의 결과로 설명할 수 있다. 시범사업의 운영 현황을 평가 및 개선하여 사업 대상 의료기관을 확대하고 인력을 확충한 정책적 노력[11]의 결과로도 볼 수 있다. 공용윤리위원회의 설치 확대에 따라 윤리위원회의 위탁 운영이 가능해지면서 자체적으로 윤리위원회를 운영할 수 없는 의료기관들의 참여가 늘었고[19], 사업 대상 의료기관의 요건을 심폐소생술, 혈액 투석, 항암제, 인공호흡기의 4가지 의학적 시술을 모두 수행 가능한 기관에서 심폐소생술, 혈액 투석, 인공호흡기, 체외생명유지술 중 한 가지 이상 수행 가능한 기관으로 완화한 것이 직접적인 효과를 가져왔을 수 있다.

본 연구의 한계점은 다음과 같다. 첫째, 본 연구에서는 COVID-19와 본사업 전환이라는 두 가지 사건을 기준으로 3개의 구간을 관찰하였으나 이 두 가지 외에도 인지하지 못한 변수가 작용한 시점들이 존재할 수 있다. 아울러 COVID-19와 본사업 전환이라는 두 사건이 완전히 독립적이지 않으며 두 사건 사이의 복잡한 상호작용을 배제할 수 없다. 그러므로 연구 기간 동안의 연명의료 결정 및 이행 추세 변화를 COVID-19의 영향과 시범 사업에서 본사업으로의 전환 효과로 나누어 설명한 본 연구의 해석에는 제한이 있다. 둘째, 분석에 사용된 국민건강보험심사평가원의 수가 코드 자료에서는 병원·요양병원·한방병원을 하나의 코드로 묶었지만 결과 해석 시 참고한 국가연명의료관리 시스템의 자료는 요양병원을 별도로 분류하고 있어 해석에 주의가 필요하다. 셋째, 연명의료이행관리료(IA74) 수가 코드 데이터는 간접적인 자료이므로 관찰하고자 하는 실제 연명의료이행 현황과는 반드시 일치하지 않을 수 있다. 다시 말하면 환자에게 실제로 이행된 의료적 개입과 국민건강보험심사평가원에 청구된 수가 사이에는 차이가 있을 수 있다. 특히 연명의료결정법에서는 연명의료의 중단과 보류가 동일하다고 규정하고 있으나[20] 실제 임상 현장에서는 연명의료 중단의 경우에만 서식을 작성하고 수가를 청구하는 경우가 존재한다. 따라서 연명의료 보류가 이루어진 경우 해당 결정과 그 이행은 수가 코드 데이터에 반영되지 않았을 수 있다. 향후 연명의료 결정 현황을 보다 정확히 파악하기 위해서는 개별 사망 환자 단위의 연명의료 결정 및 이행 여부를 직접 확인할 수 있는 자료 연계가 필요하다. 그러나 현 시점에서는 이러한 자료가 부재하므로 전체 사망자 수 대비 연명의료이행서 작성 환자 수 비율을 산출하고 이를 지속적으로 모니터링하는 것이 가장 현실적인 대안이라 할 수 있다. 구체적으로 이 지표를 국가 단위의 공식 통계로 정례적으로 산출 및 공개하도록 제도화하고, 이를 지원하기 위하여 건강보험 재정 내 별도 예산 항목을 배정하며 보건복지부 또는 국립연명의료관리기관 내 전담 부서를 설치하여 관리하는 방안이 필요하다. 이러한 체계적 관리가 이루어질 경우 연명의료결정제도의 이행 현황을 객관적으로 평가할 수 있으며, 환자의 자기결정권 보장이라는 제도의 본래 취지를 실질적으로 강화할 수 있을 것이다.

이러한 한계점에도 불구하고 본 연구는 다음과 같은 의의를 갖는다. 연명의료계획료(IA71-IA73)는 다른 수가 항목과는 달리 사전 의사결정이 확인된 경우(IA71), 사전 의사결정이 확인되지 않았으나 환자 의사 표현이 가능한 경우(IA72), 사전 의사결정이 확인되지 않았고 환자 의사 표현이 불가능한 경우(IA73)의 세 가지 형태로 세분화되어 청구된다. 선행 연구에서는 이러한 수가 구조를 고려하지 않고 연명의료계획료를 하나의 항목으로 묶었다는 한계점이 있었다. 본 연구에서는 이러한 한계를 보완하여 사전 의사결정 여부와 결정 주체를 반영한 분석을 진행하였다는 점에서 의의가 있다. 또한 연명의료 결정 관련 건강보험 수가사업은 연명의료결정법의 절차와 법정 서식에 따른 행위들을 반영하고 있으며 단일 건강보험 시스템 내에서 관련 행위들이 상당한 타당도와 신뢰도를 가지고 추적된다. 위와 같은 국가의 건강보험 시스템 운영 특성으로 인하여 건강보험심사평가원의 자료는 우리나라 전체 의료 이용 현황을 반영하는 전수 데이터로서 높은 대표성을 지닌다. 따라서 본 연구는 이러한 자료의 강점을 바탕으로 연명의료결정제도 시행 후 5년 8개월 동안의 연명의료 결정 및 이행 추세를 시계열적으로 분석한 최초의 연구라는 점에서 의의가 있다. 특히 COVID-19와 본사업으로의 전환이라는 두 사건이 연명의료 결정 및 이행에 미친 영향을 파악하였다는 점을 주목할 만하다.

향후 연구에서는 COVID-19와 본사업 전환의 상호작용을 보다 정확하게 반영하고 실제 연명의료 이행 현황과 청구된 수가 간의 차이를 해소할 수 있는 방법을 모색해야 한다. 또한 연명의료 보류와 중단을 명확히 구분할 수 있는 세부 데이터를 수집하고 이를 바탕으로 이행 기관의 종류까지 구체적으로 파악할 수 있는 분석이 필요하다.

Supplementary Materials

Supplementary Figure 1.

Monthly ratio of IA74 registrations/deaths and its interrupted time series analysis.

Supplementary Figure 2.

Interrupted time series analysis of life-sustaining treatment plan without advance statement (IA72 + IA73).

Supplementary Figure 3.

Ratios of life-sustaining treatment decisions and their implementation.

Supplementary Table 1.

Monthly ratio of IA74 registrations/deaths and its interrupted time series analysis

Supplementary Table 2.

Interrupted time series analysis of LST plan without advance statement (IA72 + IA73)

Notes

CONFLICTS OF INTEREST

No potential conflict of interest relevant to this article was reported.

FUNDING

This study was supported by the Health Technology R&D Project of the Korea Health Industry Development Institute (KHIDI), funded by the Ministry of Health and Welfare, Republic of Korea (RS 2025-02223073, RS 2025-25458811).

AUTHOR CONTRIBUTIONS

Conceived and designed the analysis: K Ha, W Park, CJ Kim, D Kim, HR Kim, M Son.

Collected the data: K Ha, W Park, M Son.

Contributed data or analysis tools: K Ha, W Park, M Son.

Performed the analysis: K Ha, W Park, M Son.

Wrote the paper: K Ha, W Park, CJ Kim, D Kim, HR Kim.

ACKNOWLEDGEMENTS

None.

References

1. Ministry of Health and Welfare, ; Health Insurance Review & Assessment Service. Guidelines for the pilot project following the enforcement of the Life-Sustaining Treatment Decisions Act. Wonju (KR): Health Insurance Review & Assessment Service; c2018 [cited 2024 Jun 3]. Available from: https://www.mohw.go.kr/board.es?mid=a10410030200&bid=0009&act=view&list_no=343863&tag=&nPage=14.
2. Ministry of Health and Welfare; National Agency for Management of Life-sustaining Treatment. 2023 annual report of life-sustaining care decision-making system Seoul: National Agency for Management of Life-sustaining Treatment; 2024.
3. Chang CY, Kim YS. Attitude toward forgoing life-sustaining treatment among cancer patient families. Ment Health Soc Work 2011;38:5–30.
4. Han NY, Yoon HJ, Park EW, Cheong YS, Yoo SM. Perception of a good death in the elderly. J Korean Acad Fam Med 2002;23:769–777.
5. Kim HS, Shin SR. The effect of educational program on withdrawing lifesustaining treatment for elderly. JKAIS 2015;16:397–407.
6. Lee EG, Han Y, Lee DE, et al. Health-seeking behavior returning to normalcy overcoming COVID-19 threat in breast cancer. Cancer Res Treat 2023;55:1222–1230.
7. Funk DC, Moss AH, Speis A. How COVID-19 changed advance care planning: insights from the West Virginia Center for end-of-life care. J Pain Symptom Manage 2020;60:e5–e9.
8. Park SY. A study on the evaluation and improvement of the life-sustaining treatment decision-related fee pilot project Sejong (KR): Ministry of Health and Welfare; 2021.
9. Chung SY, Seon JY, Oh IH, Park SY. The status of the enforcement of pilot projects on medical fees for decision making involving life-sustaining treatment. Bio Ethics Policy 2022;6:51–68.
10. Health Insurance Review & Assessment Service. National health insurance system [Internet]. Wonju (KR): Health Insurance Review & Assessment Service; c2023 [cited 2024 Aug 27]. Available from: https://www.hira.or.kr/dummy.do?pgmid=HIRAA020014000000&WT.gnb=%EA%B5%AD%EB%AF%BC%EA%B1%B4%EA%B0%95%EB%B3%B4%ED%97%98%EC%A0%9C%EB%8F%84.
11. Ministry of Health and Welfare. Establishment of the 2022 Hospice and Life-sustaining Treatment Plan for dignified and comfortable end-of-life care [Internet]. Sejong (KR): Korea Policy Briefing; c2022 [cited 2024 Oct 14]. Available from: https://www.korea.kr/briefing/pressReleaseView.do?newsId=156504346.
12. Dighe A, Cattarino L, Cuomo-Dannenburg G, et al. Response to COVID-19 in South Korea and implications for lifting stringent interventions. BMC Med 2020;18:321.
13. Ansari F, Gray K, Nathwani D, et al. Outcomes of an intervention to improve hospital antibiotic prescribing: interrupted time series with segmented regression analysis. J Antimicrob Chemother 2003;52:842–848.
14. Wagner AK, Soumerai SB, Zhang F, Ross-Degnan D. Segmented regression analysis of interrupted time series studies in medication use research. J Clin Pharm Ther 2002;27:299–309.
15. Lee JB, Jung M, Kim JH, et al. Guidelines for cancer care during the COVID-19 pandemic in South Korea. Cancer Res Treat 2021;53:323–329.
16. Health Insurance Review & Assessment Service. health insurance medical statistics: status of billing by hospitalization/outpatient [Internet]. Wonju (KR): Health Insurance Review & Assessment Service; c2024 [cited 2024 Nov 19]. Available from: https://opendata.hira.or.kr/op/opc/olapHthInsRvStatInfoTab1.do?docNo=03-001.
17. Choi JY, Jang SG, Kim CJ, Lee I. Institutional ethics committees for decisions on life-sustaining treatment in Korea: their current state and experiences with their operation. Korean J Med Ethics 2019;22:209–233.
18. Kang TW. Kang TW. Patients with mild COVID-19 face difficulties being transferred to tertiary hospitals when their condition worsens [Internet]. Seoul (KR): Health Kyunghyang; c2020 [cited 2026 Mar 14]. Available from: https://k-health.com/news/articleView.html?idxno=50612.
19. Cho JS. The life-sustaining treatment decision scheme in Korea: current status and achievements. Health Welf Policy Forum 2024;336:4–16.
20. Ministry of Health and Welfare. Life-Sustaining Treatment Decisions Act [Internet]. Sejong (KR): Korean Law Information Center; c2018 [cited 2024 Oct 6]. Available from: https://www.law.go.kr/%EB%B2%95%EB%A0%B9/%EC%97%B0%EB%AA%85%EC%9D%98%EB%A3%8C%EA%B2%B0%EC%A0%95%EB%B2%95.

Article information Continued

Figure 1.

Interrupted time series analysis of life-sustaining treatment decisions and their implementation. Dashed line means predicted trend based on unadjusted regression model.

Table 1.

Procedure codes for life-sustaining treatment decisions and their implementation

Classification Contents Type of hospitals Pilot project procedure codes Full-scale project procedure codes
Fee for management of the terminal patient (IA70) Explanation and counseling on LST decision and LST plan Tertiary hospital IA701 WU100
General hospital IA702 WU200
Hospital·Nursing hospital IA703 WU300
Clinic IA704 WU400
Fee for life-sustaining treatment plan (IA71-IA73) Presence of an Advance Statement on LST (IA71) Tertiary hospital IA711 WU110
General hospital IA712 WU210
Hospital·Nursing hospital IA713 WU310
Clinic IA714 WU410
No advance statement on LST Tertiary hospital IA721 WU120
The patient is capable of expressing his/her intention (IA72) General hospital IA722 WU220
Hospital·Nursing hospital IA723 WU320
Clinic IA724 WU420
No advance statement on LST Tertiary hospital IA731 WU130
The patient is incapable of expressing his/her intention (IA73) General hospital IA732 WU230
Hospital·Nursing hospital IA733 WU330
Clinic IA734 WU430
Fee for implementing determination to terminate LST (IA74) The determination to terminate LST has been implemented Tertiary hospital IA741 WU140, WU150a
General hospital IA742 WU240, WU250a
Hospital·Nursing hospital IA743 WU340, WU350a
Clinic IA744 WU440, WU450a

LST, life-sustaining treatment.

a

In the pilot project, IA74 was not differentiated by patient transfer. In the full-scale project, separate procedure codes were assigned depending on whether both LST planning and their implementation occurred at the same hospital (WU140, WU240, WU340, WU440) or whether implementation occurred at another hospital after transfer (WU150, WU250, WU350, WU450).

Table 2.

Baseline characteristics of the study population by study period

Fee for implementing determination to terminate LST (IA74) Pilot project Full-scale project (2022-2023) (n = 95,603) Total (2018-2023) (n = 249,378) p-value
Before COVID-19 (2018-2019) (n = 60,962) COVID-19 (2020.1-2021.12) (n = 92,813)
Sex Male 36,389 (59.7) 54,772 (59.0) 55,723 (58.3) 146,884 < 0.001
Female 24,573 (40.3) 38,041 (41.0) 39,880 (41.7) 102,494
Age < 60 11,438 (18.8) 14,858 (16.0) 13,482 (14.1) 39,778 < 0.001
≥ 60 49,524 (81.2) 77,955 (84.0) 82,121 (85.9) 209,600
Patient residence Seoul Metropolitan Areaa 35,373 (58.0) 52,544 (56.6) 55,527 (58.1) 143,444 < 0.001
Gangwon 1,311 (2.2) 1,425 (1.5) 1,684 (1.8) 4,420
Chungcheongb 3,546 (5.8) 4,989 (5.4) 5,713 (6.0) 14,248
Jeollac 6,581 (10.8) 10,479 (11.3) 10,038 (10.5) 27,098
Gyeongsangd 14,162 (23.2) 23,379 (25.2) 22,650 (23.7) 60,191
Type of hospitals Tertiary hospital 37,736 (61.9) 55,752 (60.1) 54,749 (57.3) 148,237 < 0.001
General hospital 23,151 (38.0) 35,128 (37.8) 37,348 (39.1) 95,627
Hospital·nursing hospital 75 (0.1) 1,776 (1.9) 3,309 (3.5) 5,160
Clinic 0 (0.0) 157 (0.2) 197 (0.2) 354

Values are presented as number (%).

a

Seoul, Gyeonggi-do, and Incheon.

b

Daejeon, Chungcheongbuk-do, Chungcheongnam-do, and Sejong.

c

Gwangju, Jeonbuk-do, Jeollanam-do, and Jeju-do.

d

Busan, Daegu, Ulsan, Gyeongsangbuk-do, and Gyeongsangnam-do.

Table 3.

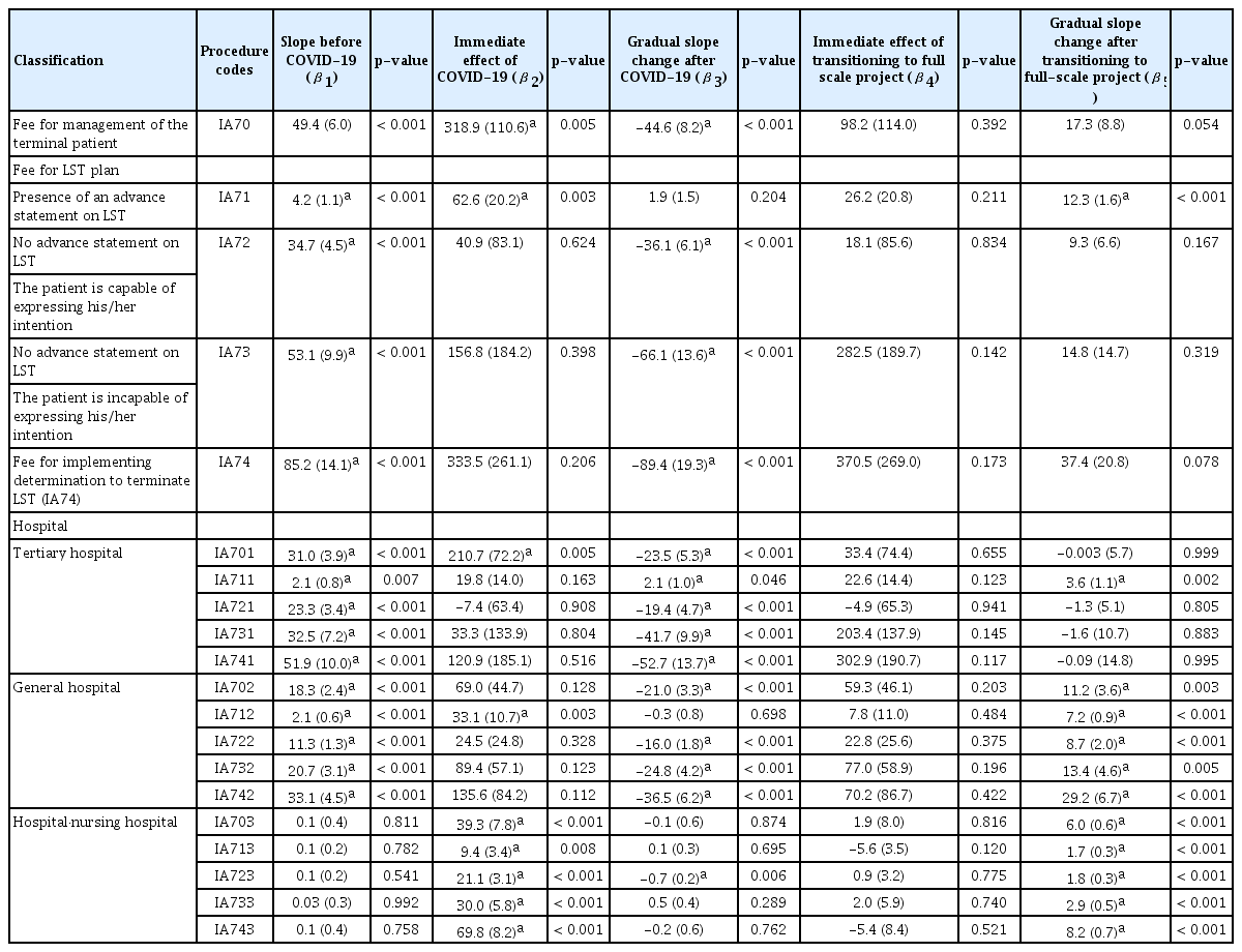
Effects of COVID-19 and transitioning to full-scale project

Classification Procedure codes Slope before COVID-19 (β1) p-value Immediate effect of COVID-19 (β2) p-value Gradual slope change after COVID-19 (β3) p-value Immediate effect of transitioning to full scale project (β4) p-value Gradual slope change after transitioning to full-scale project (β5) p-value
Fee for management of the terminal patient IA70 49.4 (6.0) < 0.001 318.9 (110.6)a 0.005 -44.6 (8.2)a < 0.001 98.2 (114.0) 0.392 17.3 (8.8) 0.054
Fee for LST plan
 Presence of an advance statement on LST IA71 4.2 (1.1)a < 0.001 62.6 (20.2)a 0.003 1.9 (1.5) 0.204 26.2 (20.8) 0.211 12.3 (1.6)a < 0.001
 No advance statement on LST IA72 34.7 (4.5)a < 0.001 40.9 (83.1) 0.624 -36.1 (6.1)a < 0.001 18.1 (85.6) 0.834 9.3 (6.6) 0.167
 The patient is capable of expressing his/her intention
 No advance statement on LST IA73 53.1 (9.9)a < 0.001 156.8 (184.2) 0.398 -66.1 (13.6)a < 0.001 282.5 (189.7) 0.142 14.8 (14.7) 0.319
 The patient is incapable of expressing his/her intention
 Fee for implementing determination to terminate LST (IA74) IA74 85.2 (14.1)a < 0.001 333.5 (261.1) 0.206 -89.4 (19.3)a < 0.001 370.5 (269.0) 0.173 37.4 (20.8) 0.078
Hospital
 Tertiary hospital IA701 31.0 (3.9)a < 0.001 210.7 (72.2)a 0.005 -23.5 (5.3)a < 0.001 33.4 (74.4) 0.655 -0.003 (5.7) 0.999
IA711 2.1 (0.8)a 0.007 19.8 (14.0) 0.163 2.1 (1.0)a 0.046 22.6 (14.4) 0.123 3.6 (1.1)a 0.002
IA721 23.3 (3.4)a < 0.001 -7.4 (63.4) 0.908 -19.4 (4.7)a < 0.001 -4.9 (65.3) 0.941 -1.3 (5.1) 0.805
IA731 32.5 (7.2)a < 0.001 33.3 (133.9) 0.804 -41.7 (9.9)a < 0.001 203.4 (137.9) 0.145 -1.6 (10.7) 0.883
IA741 51.9 (10.0)a < 0.001 120.9 (185.1) 0.516 -52.7 (13.7)a < 0.001 302.9 (190.7) 0.117 -0.09 (14.8) 0.995
 General hospital IA702 18.3 (2.4)a < 0.001 69.0 (44.7) 0.128 -21.0 (3.3)a < 0.001 59.3 (46.1) 0.203 11.2 (3.6)a 0.003
IA712 2.1 (0.6)a < 0.001 33.1 (10.7)a 0.003 -0.3 (0.8) 0.698 7.8 (11.0) 0.484 7.2 (0.9)a < 0.001
IA722 11.3 (1.3)a < 0.001 24.5 (24.8) 0.328 -16.0 (1.8)a < 0.001 22.8 (25.6) 0.375 8.7 (2.0)a < 0.001
IA732 20.7 (3.1)a < 0.001 89.4 (57.1) 0.123 -24.8 (4.2)a < 0.001 77.0 (58.9) 0.196 13.4 (4.6)a 0.005
IA742 33.1 (4.5)a < 0.001 135.6 (84.2) 0.112 -36.5 (6.2)a < 0.001 70.2 (86.7) 0.422 29.2 (6.7)a < 0.001
 Hospital·nursing hospital IA703 0.1 (0.4) 0.811 39.3 (7.8)a < 0.001 -0.1 (0.6) 0.874 1.9 (8.0) 0.816 6.0 (0.6)a < 0.001
IA713 0.1 (0.2) 0.782 9.4 (3.4)a 0.008 0.1 (0.3) 0.695 -5.6 (3.5) 0.120 1.7 (0.3)a < 0.001
IA723 0.1 (0.2) 0.541 21.1 (3.1)a < 0.001 -0.7 (0.2)a 0.006 0.9 (3.2) 0.775 1.8 (0.3)a < 0.001
IA733 0.03 (0.3) 0.992 30.0 (5.8)a < 0.001 0.5 (0.4) 0.289 2.0 (5.9) 0.740 2.9 (0.5)a < 0.001
IA743 0.1 (0.4) 0.758 69.8 (8.2)a < 0.001 -0.2 (0.6) 0.762 -5.4 (8.4) 0.521 8.2 (0.7)a < 0.001

LST, life-sustaining treatment.

a

Indicates statistical significance at p < 0.05.